Fig. 17
From: Visual imitation learning from one-shot demonstration for multi-step robot pick and place tasks

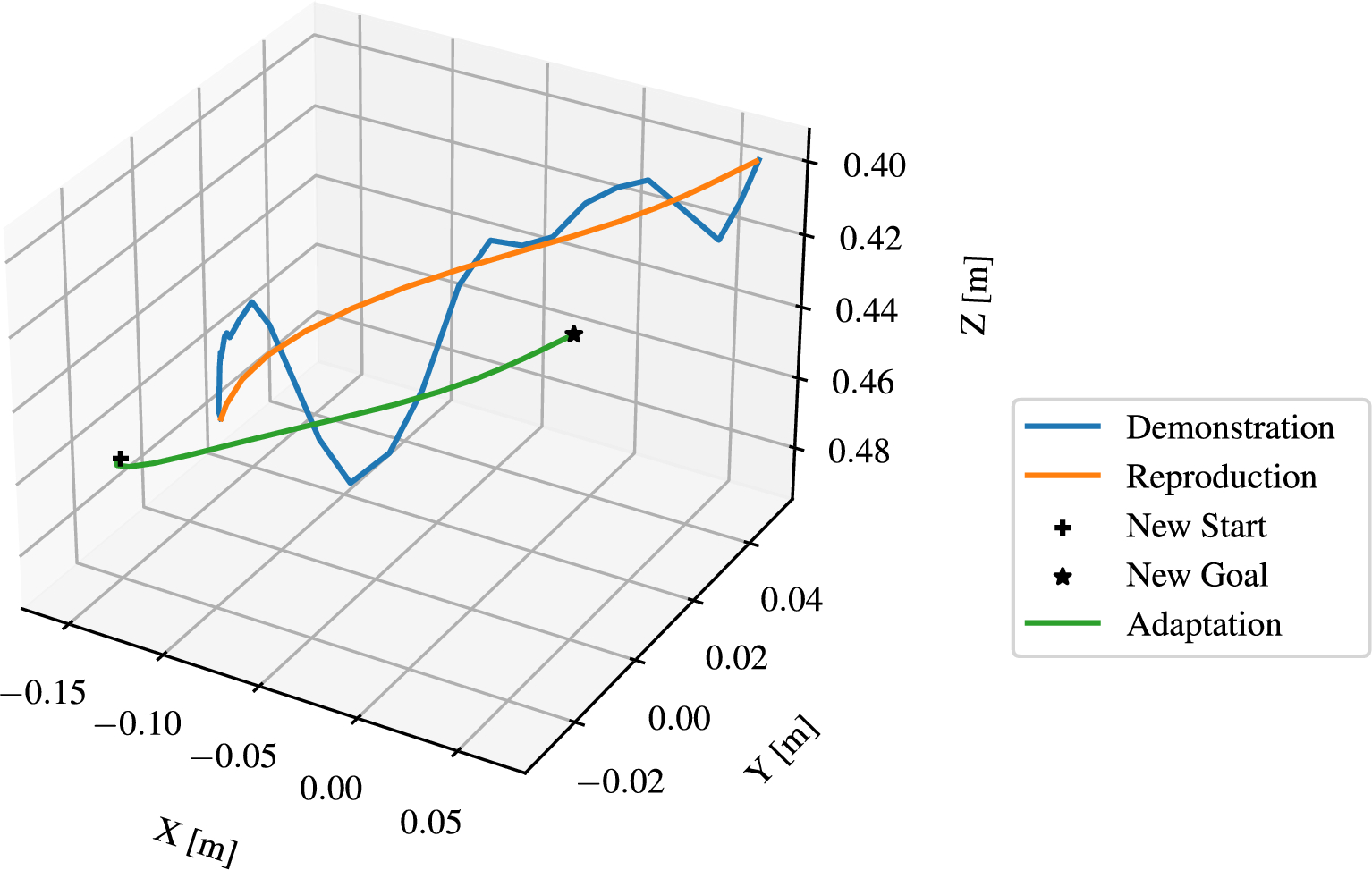
Learned and updated DMP for representing move with \(\lambda =0.1\) and \(N=20\).
From: Visual imitation learning from one-shot demonstration for multi-step robot pick and place tasks

Learned and updated DMP for representing move with \(\lambda =0.1\) and \(N=20\).