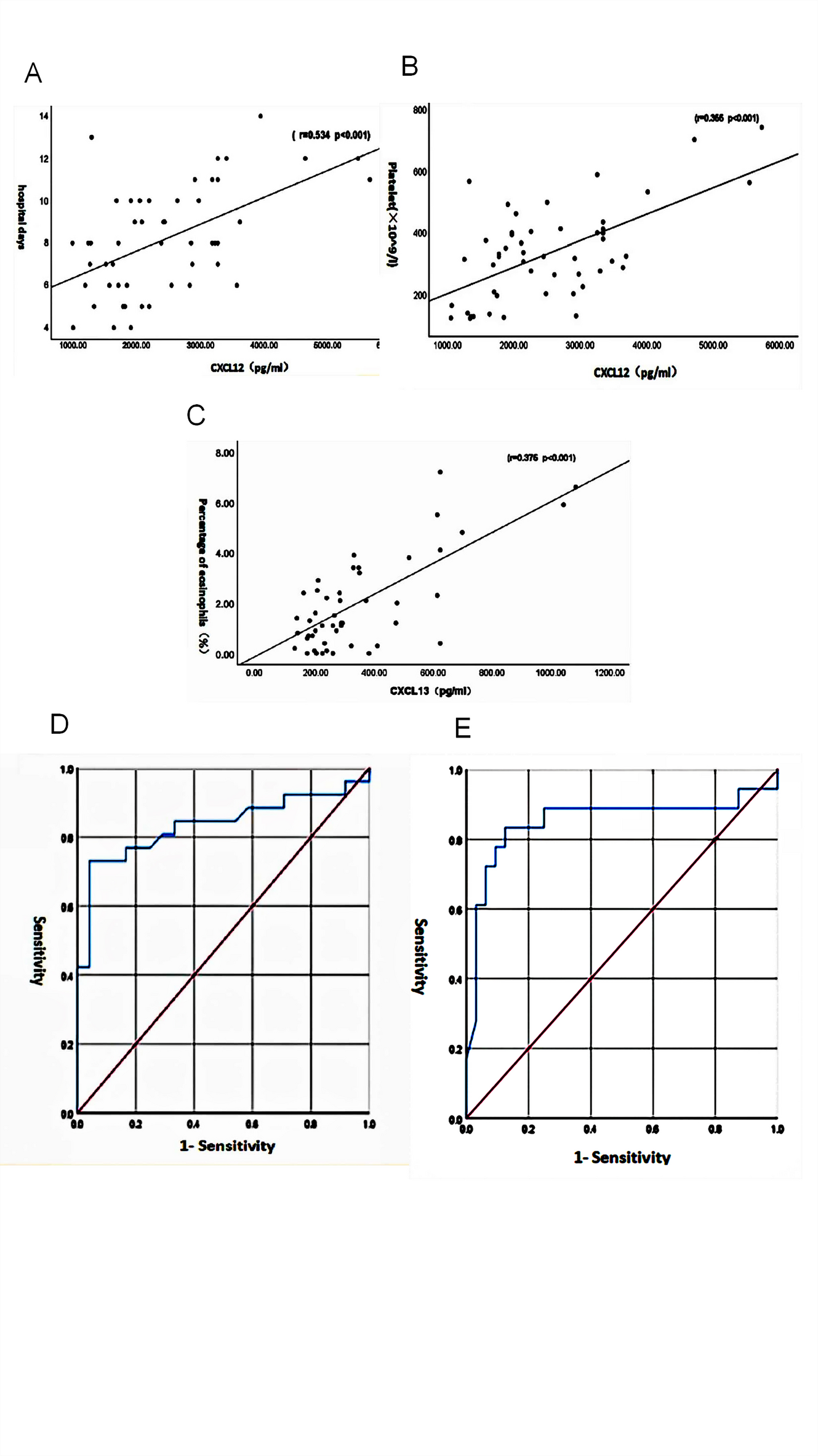
Fig. 5

Correlation analysis of plasma CXCL12 and CXCL13 with clinical indicators and ROC curve analysis of association with disease conditions. (A–C) The plasma CXCL12 level was positively correlated with the length of hospital stay and platelet count, and the plasma CXCL13 level was correlated with the percentage of eosinophils. (D) ROC curve analysis of the relationship between CXCL12 and the severity of the disease. (E) ROC curve analysis of the relationship between CXCL13 and the occurrence of recurrent wheezing.