Fig. 2
From: Psychiatric disorders associated with increased risk of colorectal cancer in the UK biobank cohort

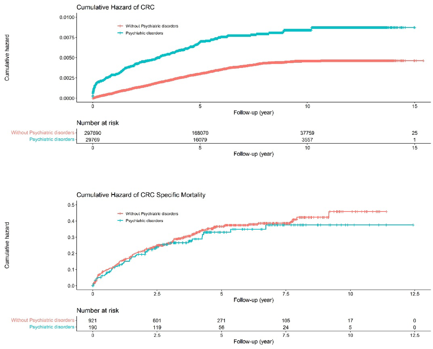
Cumulative hazards of CRC and CRC specific mortality.
From: Psychiatric disorders associated with increased risk of colorectal cancer in the UK biobank cohort

Cumulative hazards of CRC and CRC specific mortality.