Fig. 2
From: Quantum dynamics and squeezing in a noiseless cavity mode driven by a coherent three-level atom

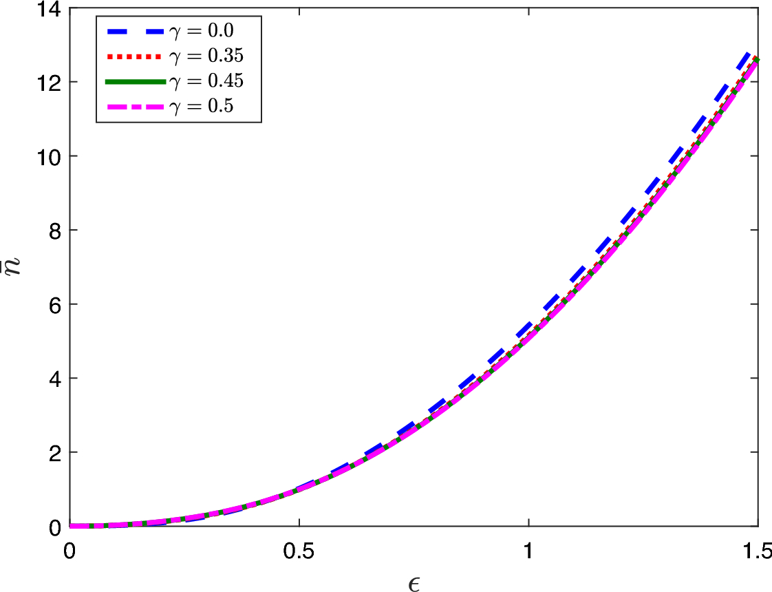
Mean photon number for cavity mode \(\hat{a}_3\) versus \(\varepsilon\), calculated using Eq. (87). The parameters are fixed at \(\kappa = 0.8\) and \(\gamma _c = 0.8\). The curves represent different values of spontaneous emission \(\gamma\): \(\gamma = 0.0\) (dashed line), \(\gamma = 0.35\) (dotted line), \(\gamma = 0.45\) (solid line), and \(\gamma = 0.5\) (dash-dotted line).