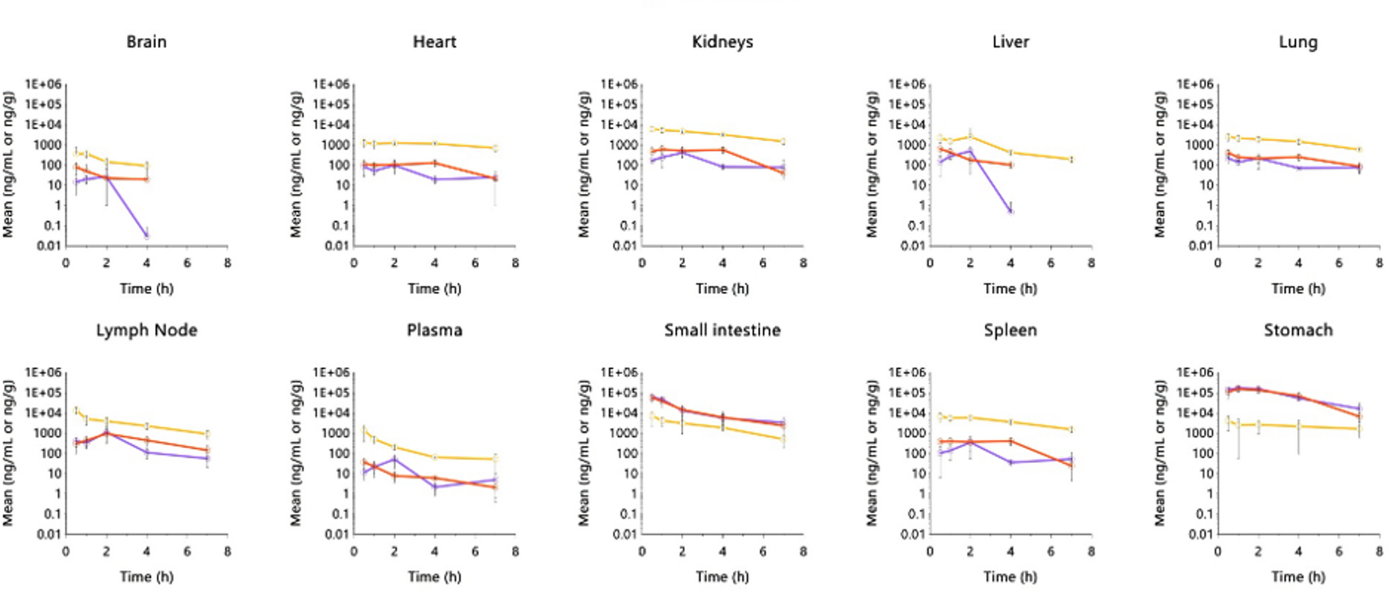
Fig. 4
From: Influences of formulations and administration routes on docetaxel tissue distribution in mice

The concentration-time profiles of DTX in tissues. Yellow: IP DTX injection; Orange: oral DTX injection; Purple: oral DTX granules. Mice (n = 3–4) were given each treatment at an equivalent dose of 5 mg/kg DTX.