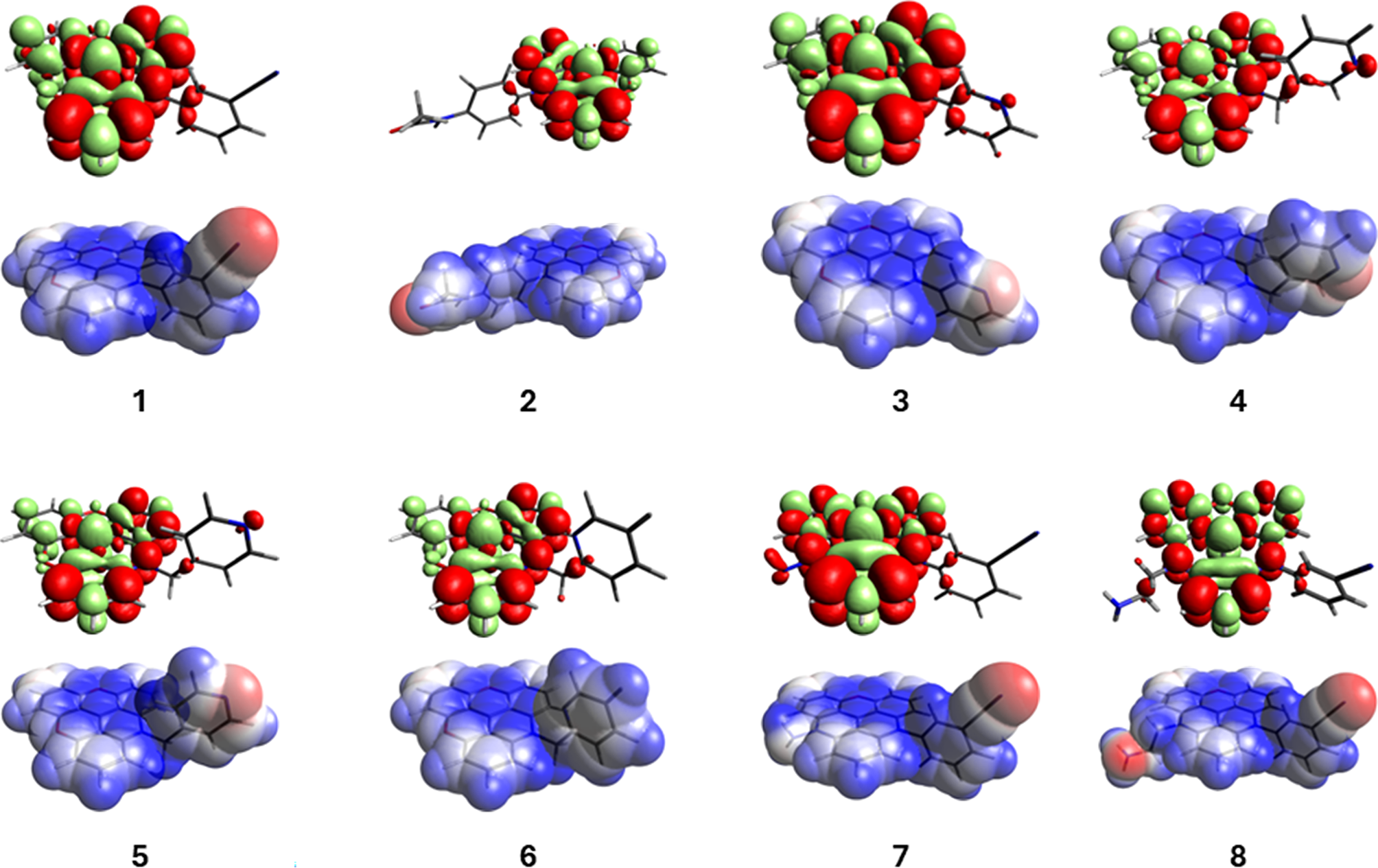
Fig. 5
From: Microwave-assisted synthesis of new triangulenium dyes for lifetime imaging microscopy (FLIM)

Density difference plots for the excitation electronic transitions (above) and electrostatic potential plotted over the Van der Waals surface (EPS) for dyes 1–8. The difference density representation depicts the zones of electron density enhancement (green) or depletion (red) during the excitation transition, thus making it easy to understand the absorption phenomena as a simpler single-electron picture, in contrast to the most common canonical bonding orbital representation (in Figure S3 in the SI).