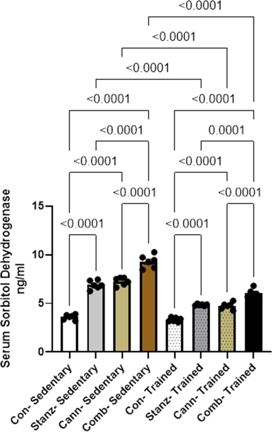
Fig. 4

Serum Sorbitol dehydrogenase level across different experimental groups: Control (Con), Stanozolol (Stanz), Cannabis (Cann), and Combined treatments (Comb), with each group further exposed to Sedentary and Training conditions. Data are expressed as mean ± SEM; Significance was tested at p < 0.05 using one-way ANOVA followed by Tukey’s post hoc test for comparison (n = 6/group).