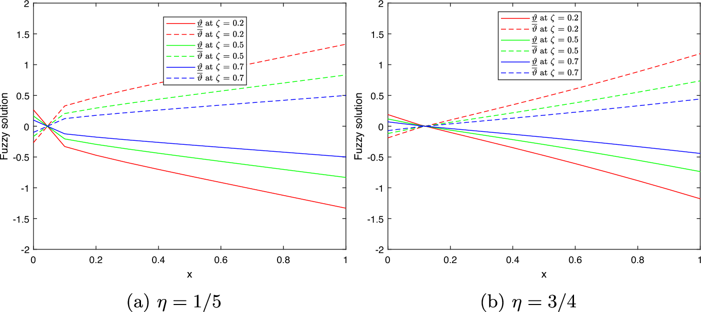
Fig. 5

Visualizes the fuzzy results of \(\underline{\vartheta }(y,\xi ), \overline{\vartheta }(y,\xi )\) at different values of uncertainty \(\xi = 0.2, 0.5, 0.7\) and fractional order \(\eta =1/5, 3/4\) for Example 2.

Visualizes the fuzzy results of \(\underline{\vartheta }(y,\xi ), \overline{\vartheta }(y,\xi )\) at different values of uncertainty \(\xi = 0.2, 0.5, 0.7\) and fractional order \(\eta =1/5, 3/4\) for Example 2.