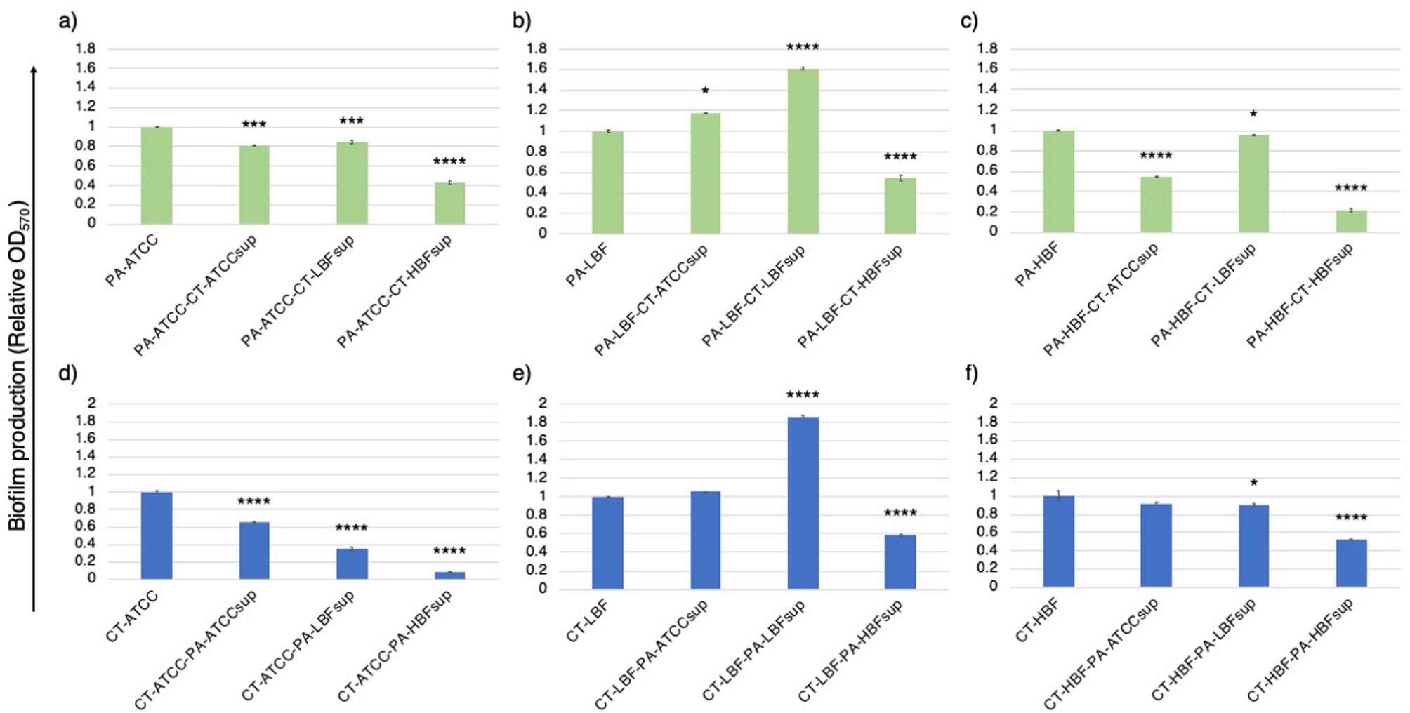
Fig. 2

Biofilm formation of PA and CT strains in response to microbial supernatants. Bar graph showing the relative mean optical density (OD570) ± SD of crystal violet-stained biofilms for PA strains (green bars) (a) PA-ATCC, (b) PA-LBF, (c) PA-HBF cultured with CT supernatants and CT strains (blue bars) (d) CT-ATCC, (e) CT-LBF, (f) CT-HBF cultured with PA supernatants. Data represent mean values from triplicates, with error bars indicating SD. Significant differences (*p < 0.05, **p < 0.01, ***p < 0.001, ****p < 0.0001) compared to respective monoculture controls were determined by one-way ANOVA with Welch’s correction.