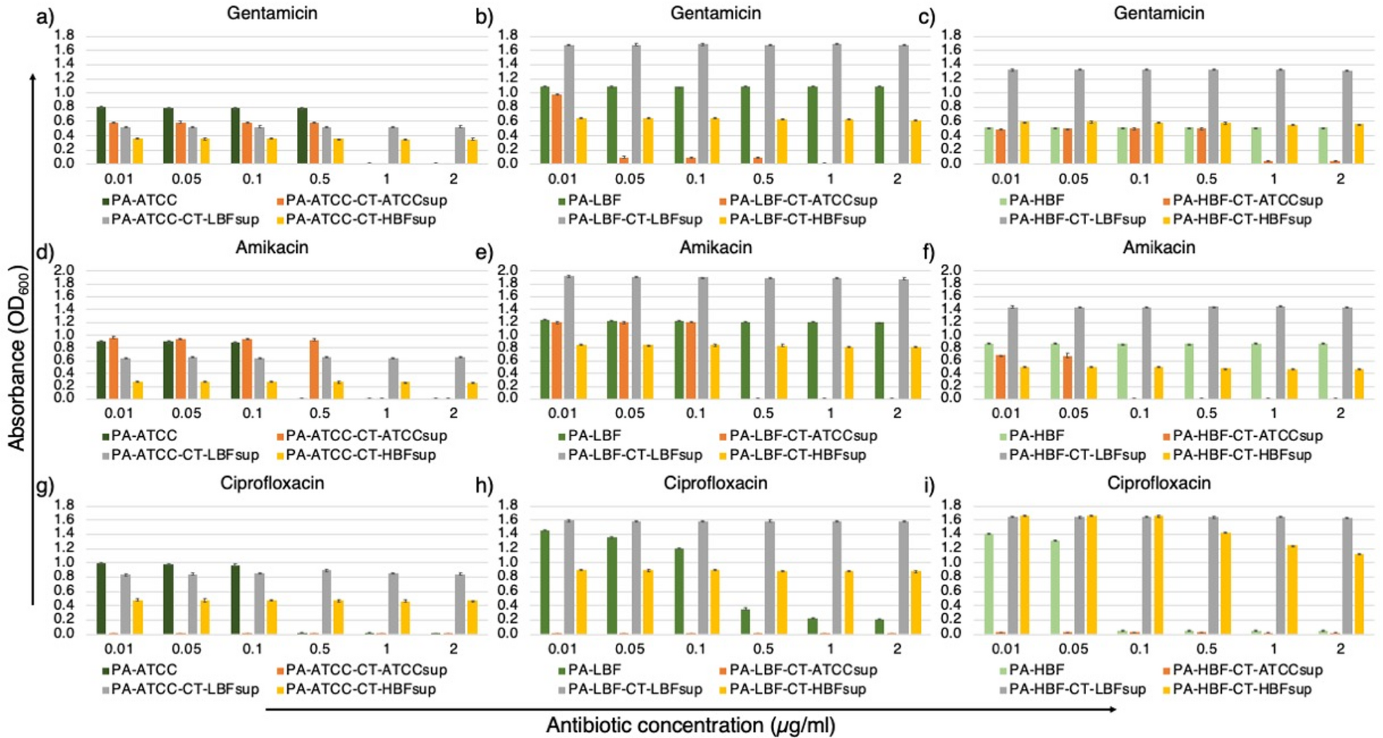
Fig. 4

Antimicrobial susceptibility patterns of PA strains to antimicrobial agents (µg/mL) in presence of CT supernatants. Bar graphs showing mean growth (OD600) ± SD of PA strains- PA-ATCC in CT supernatants with (a) GEN (b) AMK (c) CIP, PA-LBF in CT supernatants with (d) GEN (e) AMK (f) CIP and PA-HBF in CT supernatants with (g) GEN (h) AMK (i) CIP. All data represent mean values from triplicates with error bars indicating SD. Asterisks denote statistically significant differences (*p < 0.05, **p < 0.01, ***p < 0.001, ****p < 0.0001) compared to respective antifungal-treated controls without bacterial supernatants (one-way ANOVA with Welch’s correction).