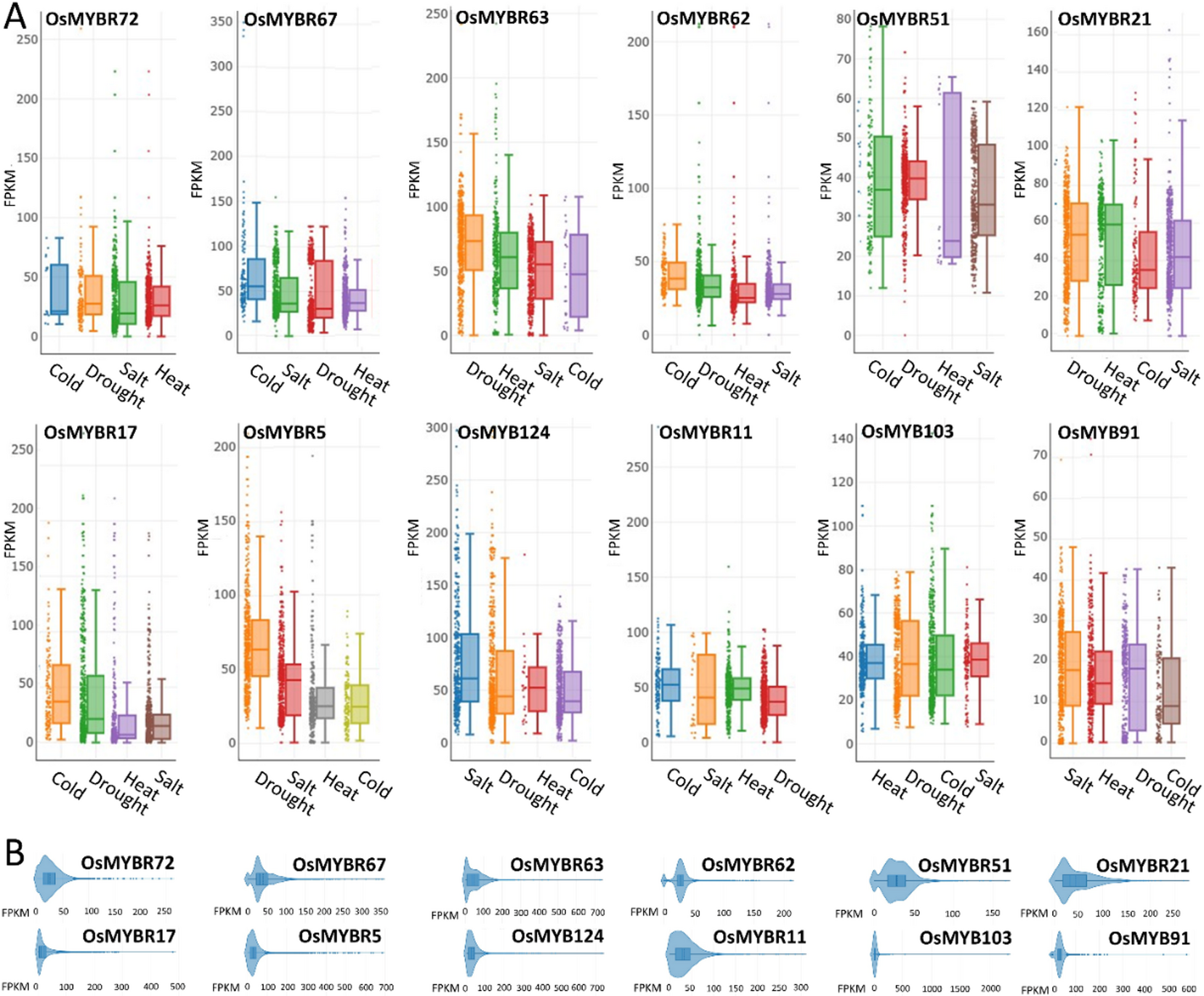
Fig. 9

Analysis of KGs expression responses in abiotic stresses. A; gene expression under abiotic stresses. B; FPKM distribution in abiotic stresses. The FPKM (Fragments Per Kilobase of transcript per Million mapped reads) values quantify the expression levels of genes in RNA sequencing data, normalizing for both the length of the gene and the total number of reads in the experiment.