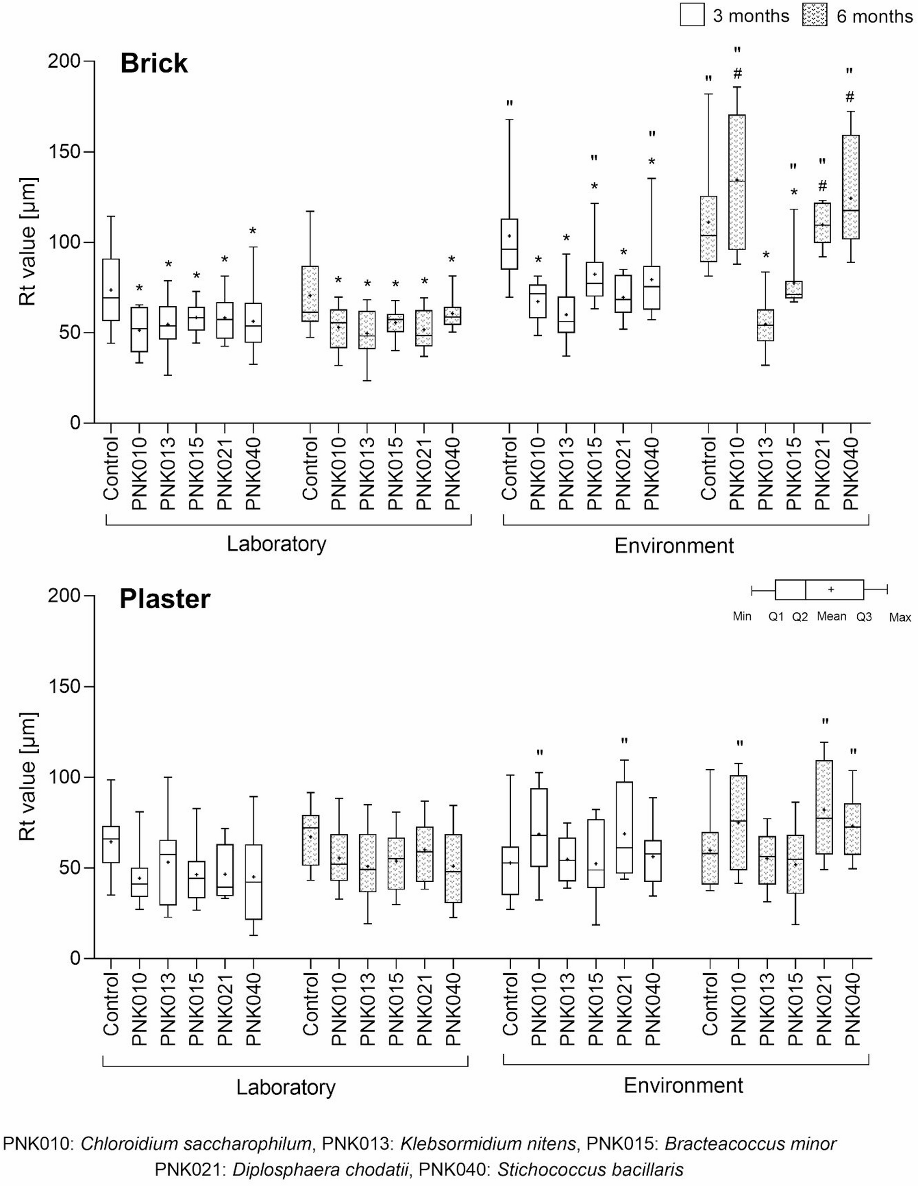
Fig. 7

Changes in the total height of the substrate profile (Rt) (l = 300 μm) detected after three and six months of incubation on brick and plaster in the laboratory and environmental conditions, visualised by the box-and-whisker plot with (Q1–Q3) quartile set of data; statistical significance (q ≤ 0.05) is marked by: (*) in relation to control vs. PNK changes, (#) in relation to 3 vs. 6 month changes, and (“) in relation to laboratory vs. environment changes.