Fig. 5
From: Multi-omics driven computational framework for cancer molecular subtype classification

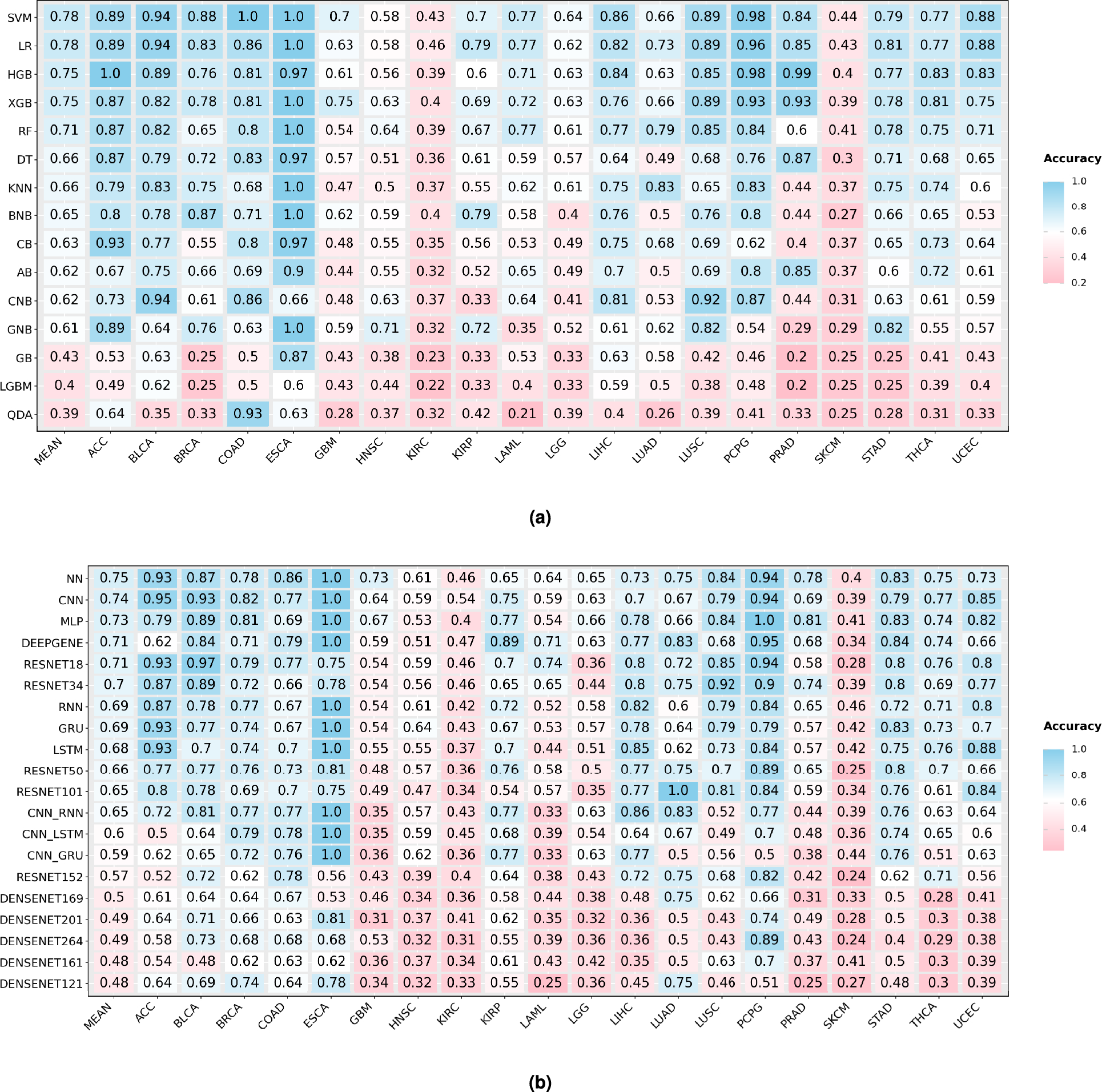
Across each cancer, the top performance of a classifier is shown regardless of the omics modality or dataset configuration to identify the most consistent classifiers for cancer molecular subtype classification.