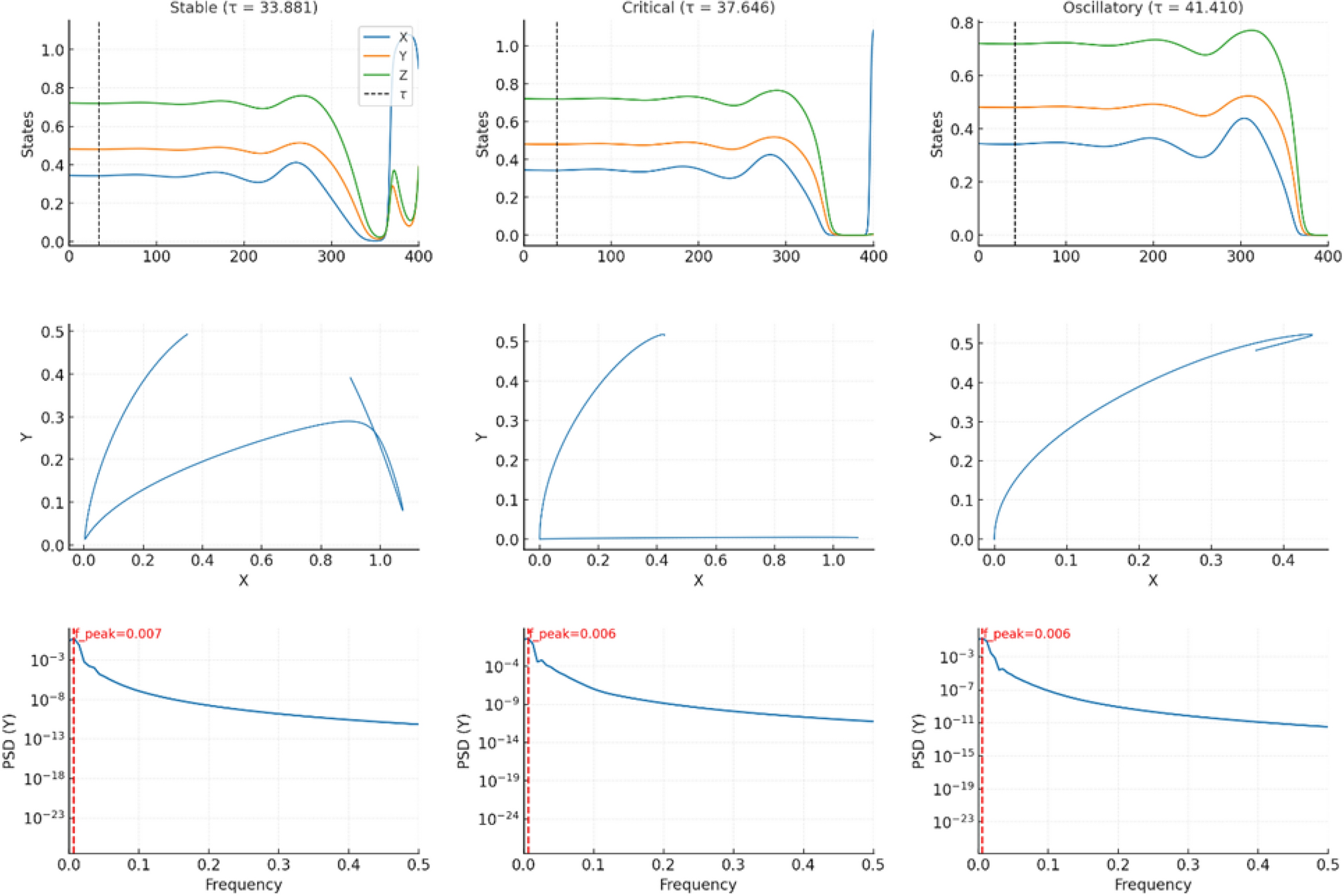
Fig. 13

The visualization of delay-induced dynamics. Composite figure showing time series (top), phase portrait (middle), and PSD (bottom) for stable, critical, and oscillatory regimes. Together, these plots provide comprehensive evidence of a supercritical Hopf bifurcation triggered by ecological delay, transforming a damped coexistence state into sustained bloom cycles.