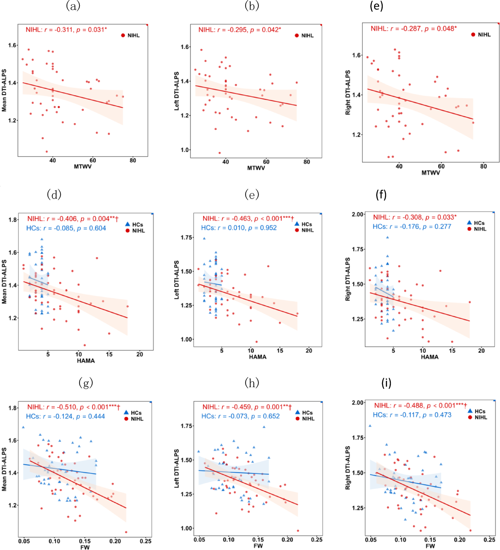
Fig. 3

Correlations of DTI‑ALPS indices with clinical characteristics and FW in the NIHL (red) and HCs (blue) groups. Graphs (a, b,c) show the correlations of DTI-ALPS indices and MTWV; graphs (d, e,f) show the correlations of DTI-ALPS indices and HAMA; graphs (g, h,i) show the correlations of DTI-ALPS indices and FW. Significance: *p < 0.05, **p < 0.01, ***p < 0.001(all uncorrected); †p < 0.05 (FDR-corrected).