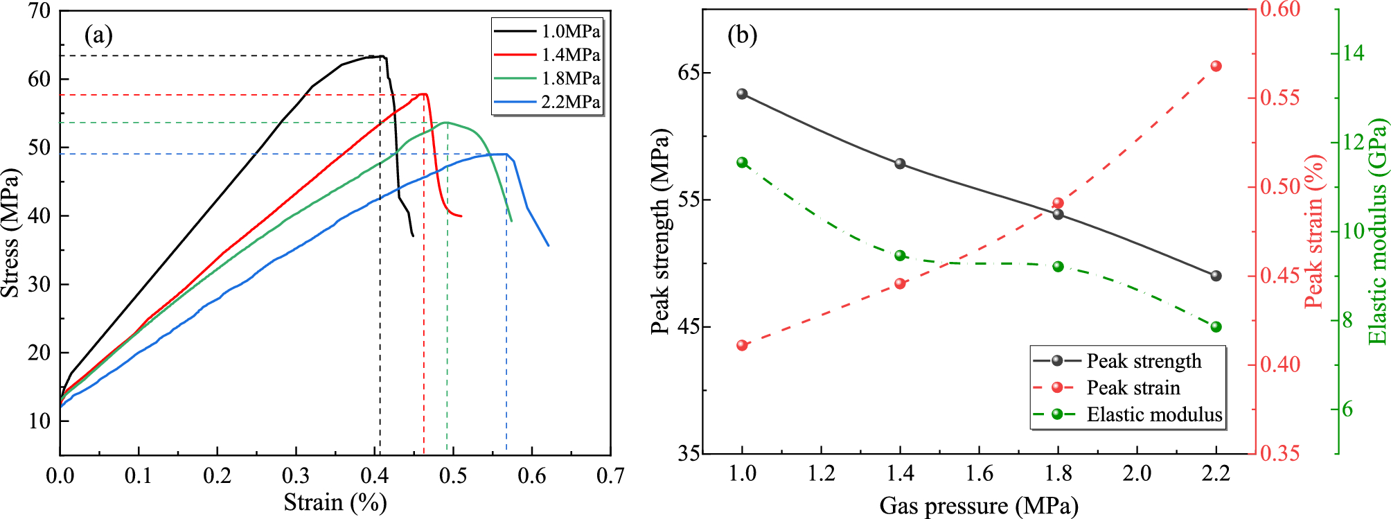
Fig. 5

Thermo-hydro-mechanical coupling experimental results under varying gas pressures: (a) stress strain curves; (b) mechanical characteristic parameters.

Thermo-hydro-mechanical coupling experimental results under varying gas pressures: (a) stress strain curves; (b) mechanical characteristic parameters.