Fig. 6
From: A text guided multimodal scale path fusion network for multimodal sentiment analysis

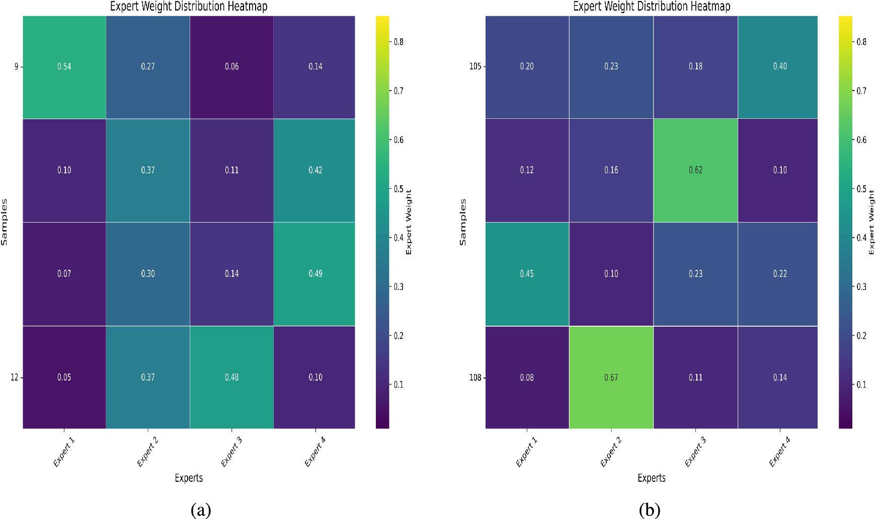
Visualization of different expert-scale weights.
From: A text guided multimodal scale path fusion network for multimodal sentiment analysis

Visualization of different expert-scale weights.