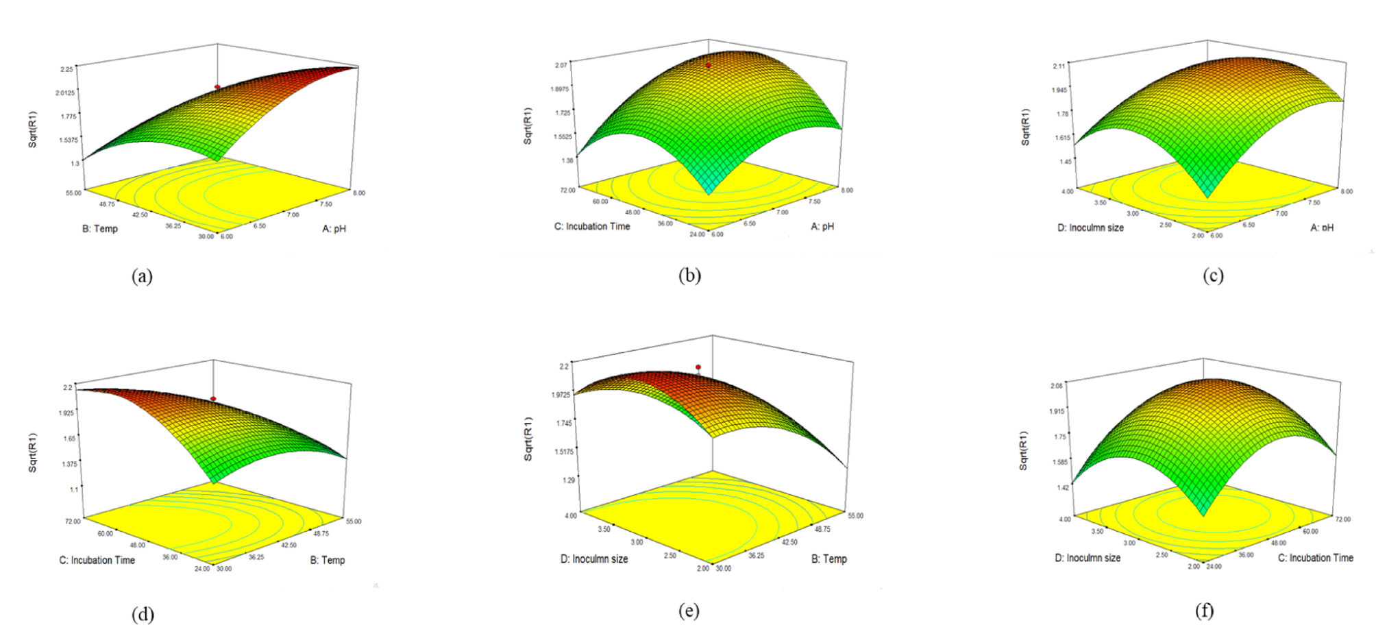
Fig. 4
From: Multi enzyme production and alginate encapsulation from Bacillus subtilis for stable feed additives

Response surface plots showing the effect of fermentation parameters (pH, temperature, incubation time, and inoculum size) on the production of amylase by Bacillus subtilis. Each axis represents one variable, and the response surface indicates predicted enzyme activity based on the RSM model.