Fig. 9
From: Multi enzyme production and alginate encapsulation from Bacillus subtilis for stable feed additives

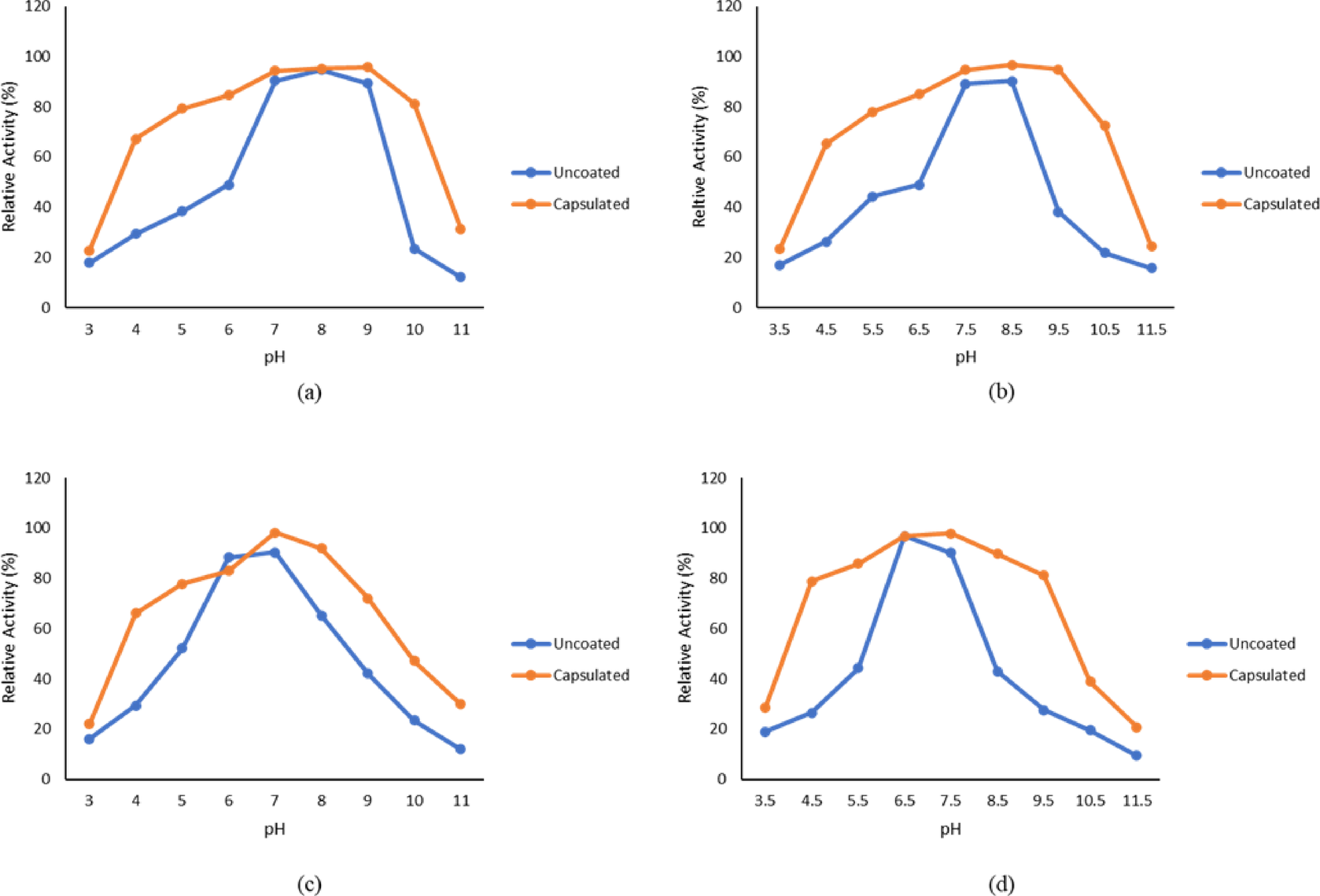
Effect of pH on coated and uncoated (a) protease, (b) lipase, (c) cellulase and (d) amylase.
From: Multi enzyme production and alginate encapsulation from Bacillus subtilis for stable feed additives

Effect of pH on coated and uncoated (a) protease, (b) lipase, (c) cellulase and (d) amylase.