Fig. 12

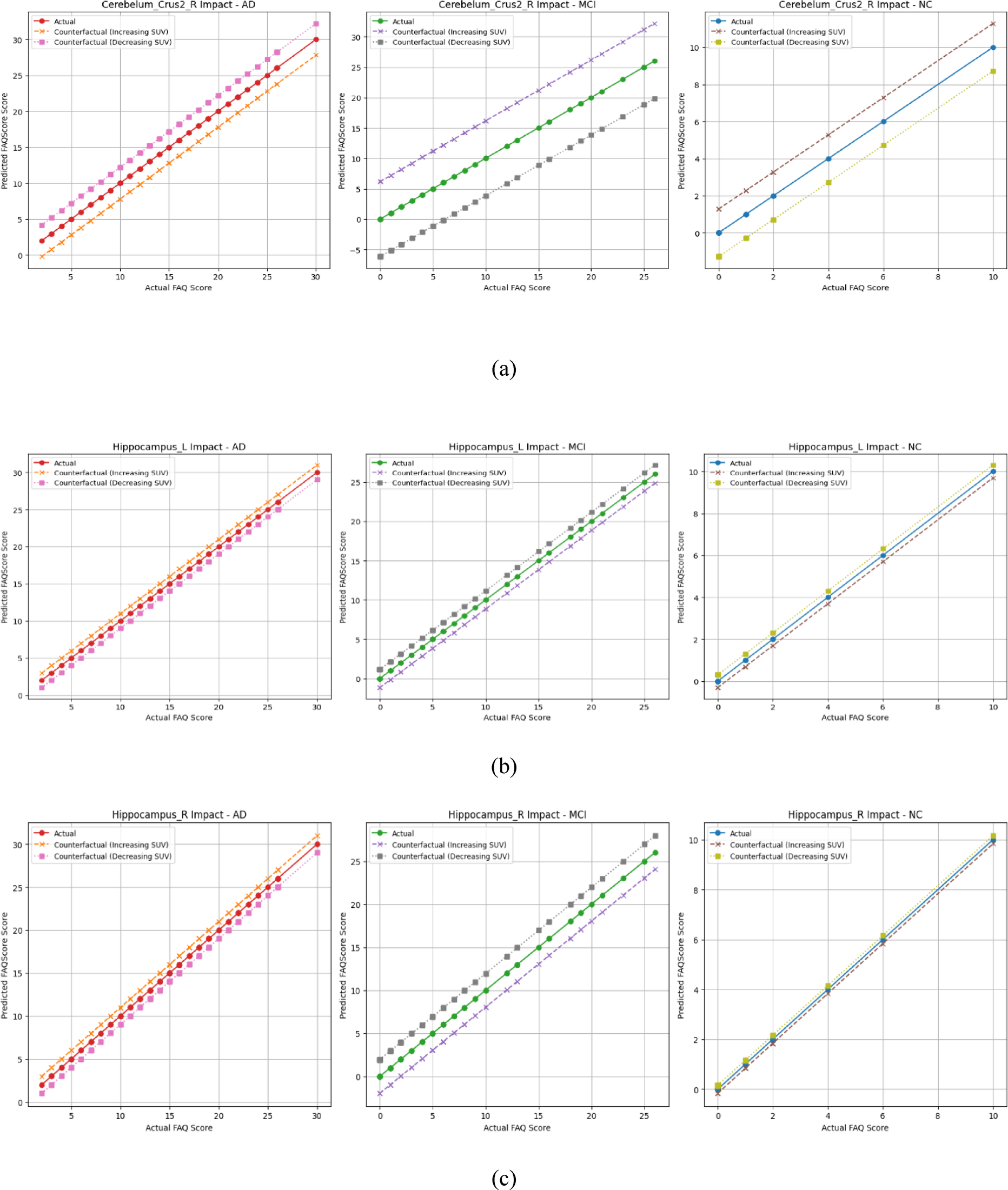
Counterfactual effects observed in AD, MCI, and NC groups. (a)Cerebellum_Crus2_R. (b) Hippocampal left. (c)Hippocampal right.

Counterfactual effects observed in AD, MCI, and NC groups. (a)Cerebellum_Crus2_R. (b) Hippocampal left. (c)Hippocampal right.