Fig. 5
From: Parafenestella varangrensis sp. nov., a phomenin producing fungus from the Arctic

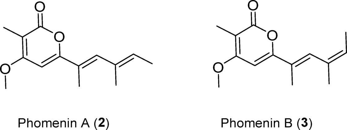
Structures of 2 and 3 isolated from the extract of P. varangrensis.
From: Parafenestella varangrensis sp. nov., a phomenin producing fungus from the Arctic

Structures of 2 and 3 isolated from the extract of P. varangrensis.