Fig. 3
From: Multi-scale spatial-temporal transformer for traffic flow prediction

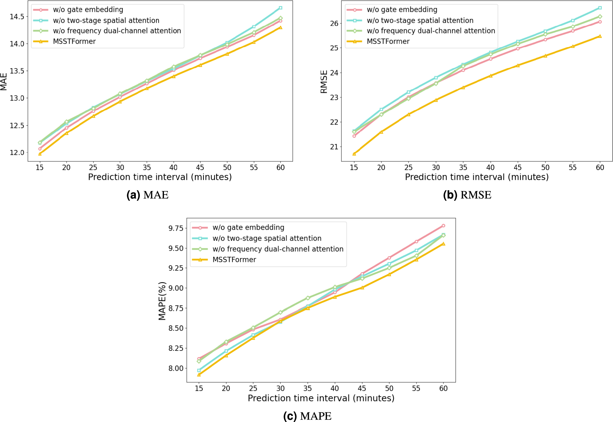
Comparison of single-step prediction performance on the PeMS08 dataset.
From: Multi-scale spatial-temporal transformer for traffic flow prediction

Comparison of single-step prediction performance on the PeMS08 dataset.