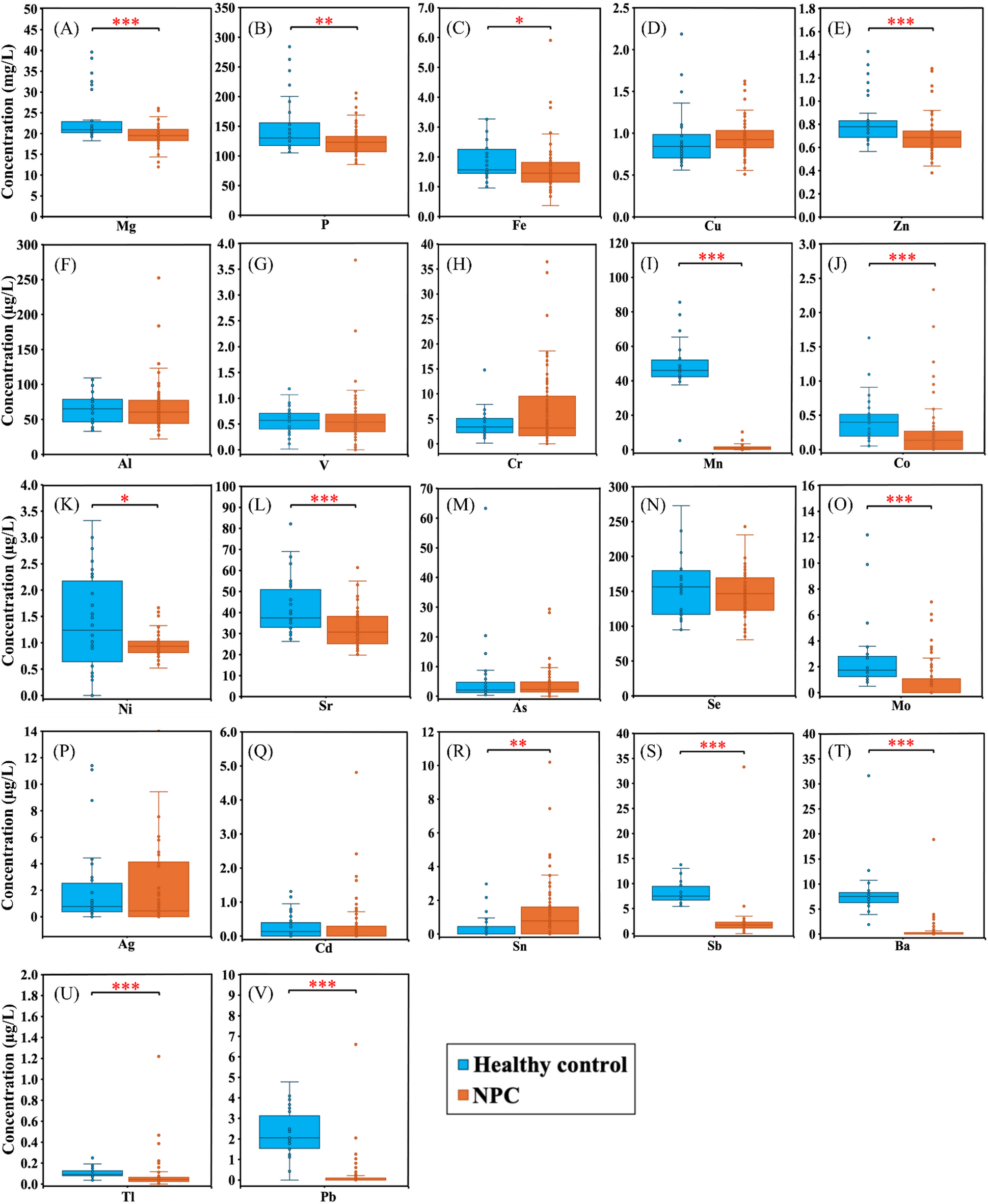
Fig. 1

Comparison of plasma elemental profiles in the healthy control and NPC group. The elemental levels of Mg (A), P (B), Fe (C), Cu (D), Zn (E), Al (F), V (G), Cr (H), Mn (I), Co (J), Ni (K), Sr (L), As (M), Se (N), Mo (O), Ag (P), Cd (Q), Sn (R), Sb (S), Ba (T), Tl (U), Pb (V) was compared between healthy controls (n = 30) and NPC patients (n = 93). Asterisk indicates statistical significance: *p \(\:<\) 0.05; **p \(\:\le\:\) 0.01; ***p \(\:\le\:\) 0.001.