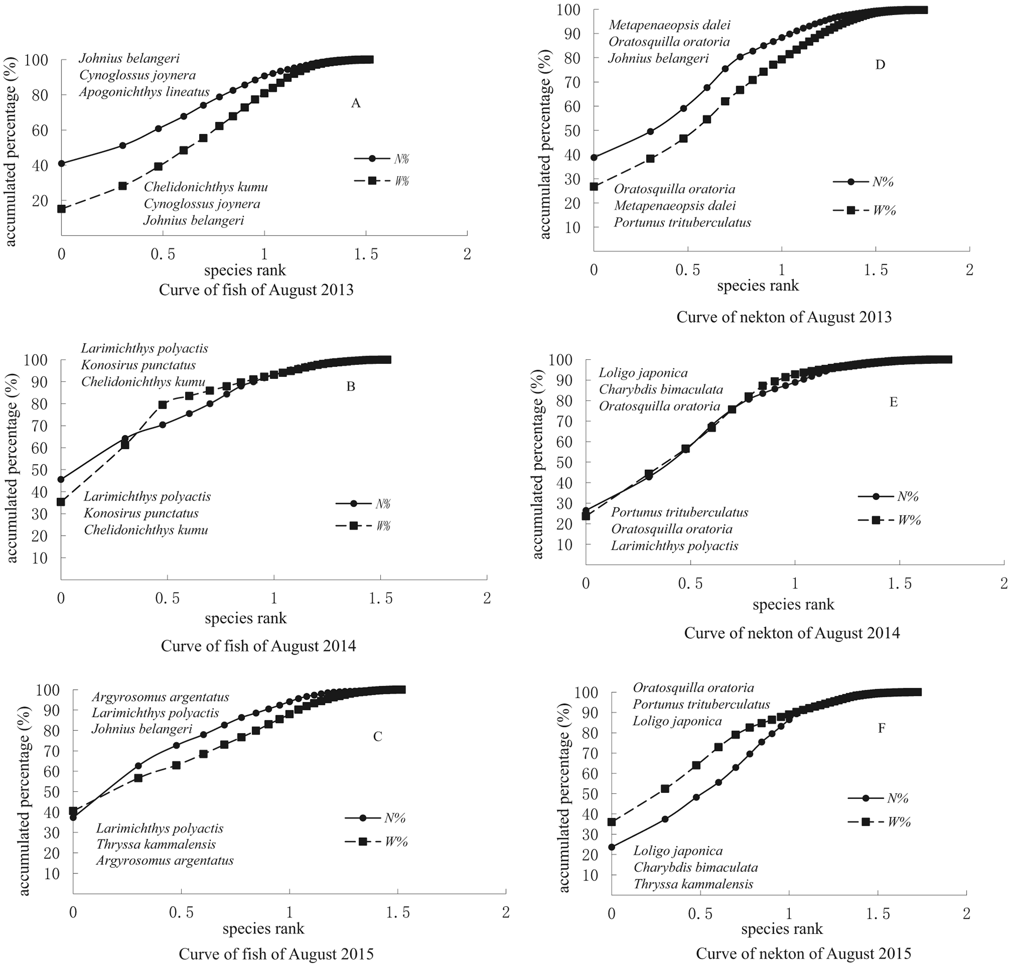
Fig. 3

The summer ABC curves of fish and nekton community structure in Laoshan Bay in August (three species were added beside the abundance and biomass curves, respectively, which were the top 3 organisms in percentile ranking.).

The summer ABC curves of fish and nekton community structure in Laoshan Bay in August (three species were added beside the abundance and biomass curves, respectively, which were the top 3 organisms in percentile ranking.).