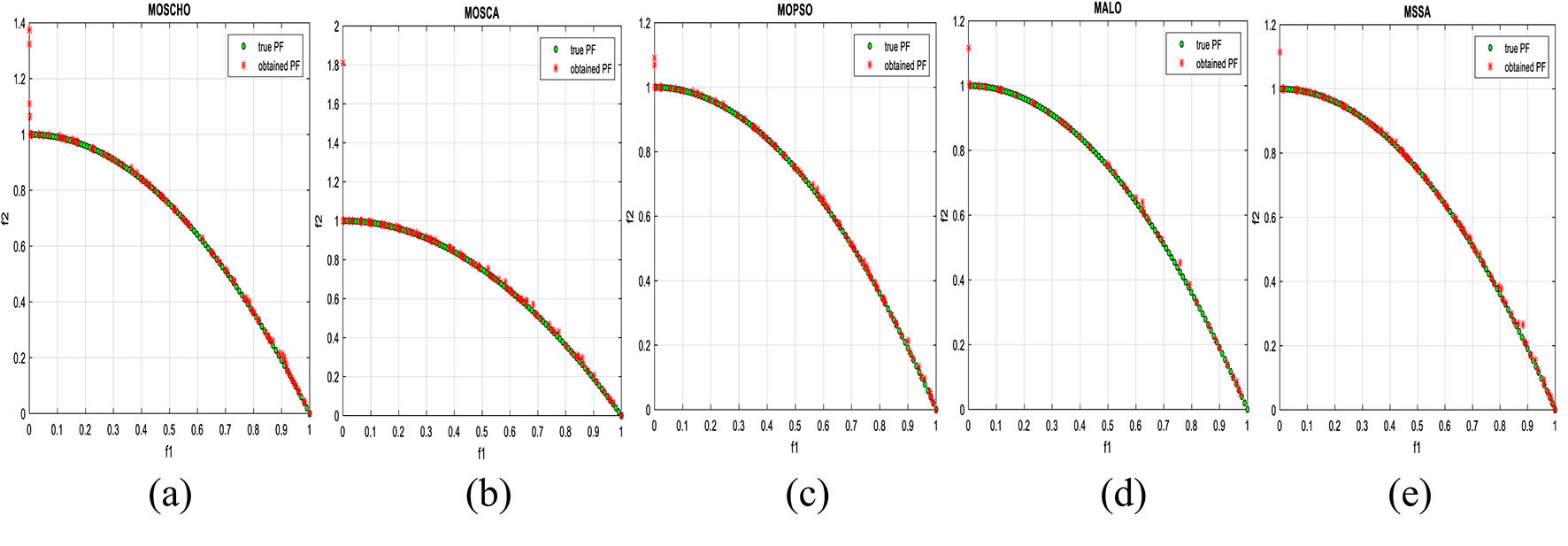
Fig. 8

obtained Pareto optimal set and true Pareto front of UF3 problem. (a): MOSCHO, (b): MOSCA, (c): MOPSO, (d): MALO, (e): MSSA.

obtained Pareto optimal set and true Pareto front of UF3 problem. (a): MOSCHO, (b): MOSCA, (c): MOPSO, (d): MALO, (e): MSSA.