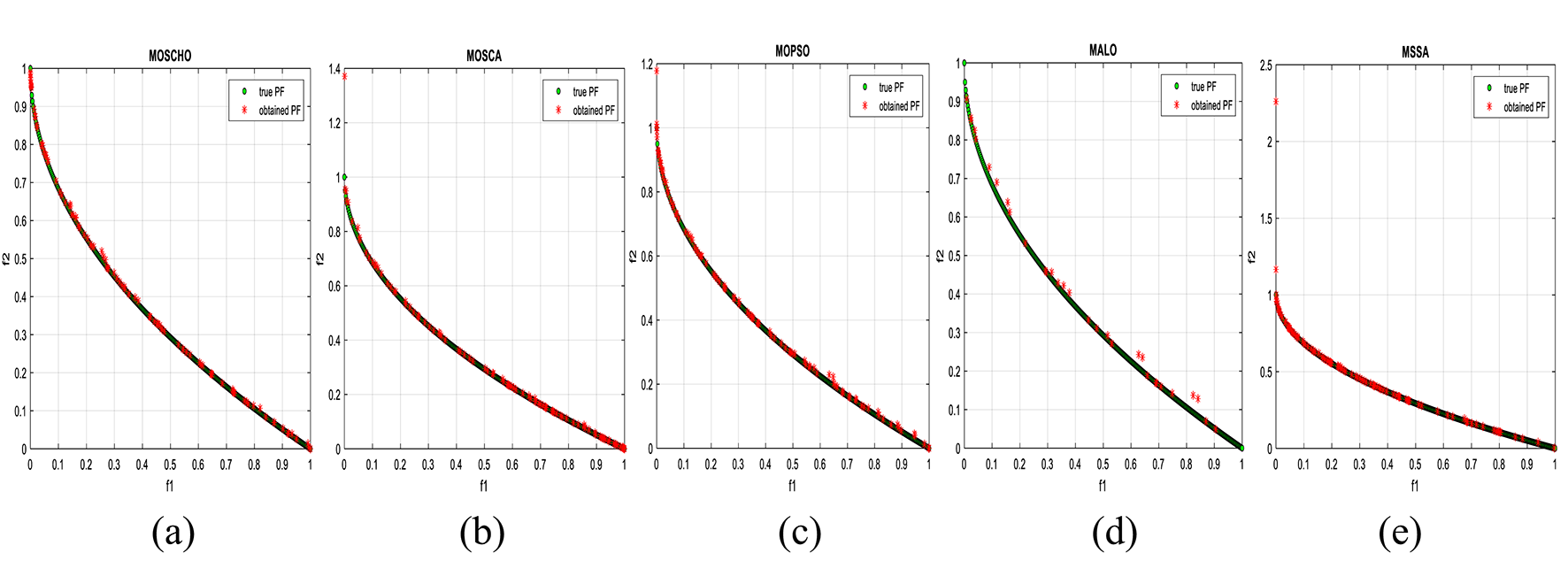
Fig. 9

Obtained Pareto optimal set and true Pareto front of UF4 problem. (a): MOSCHO, (b): MOSCA, (c): MOPSO, (d): MALO, (e): MSSA.

Obtained Pareto optimal set and true Pareto front of UF4 problem. (a): MOSCHO, (b): MOSCA, (c): MOPSO, (d): MALO, (e): MSSA.