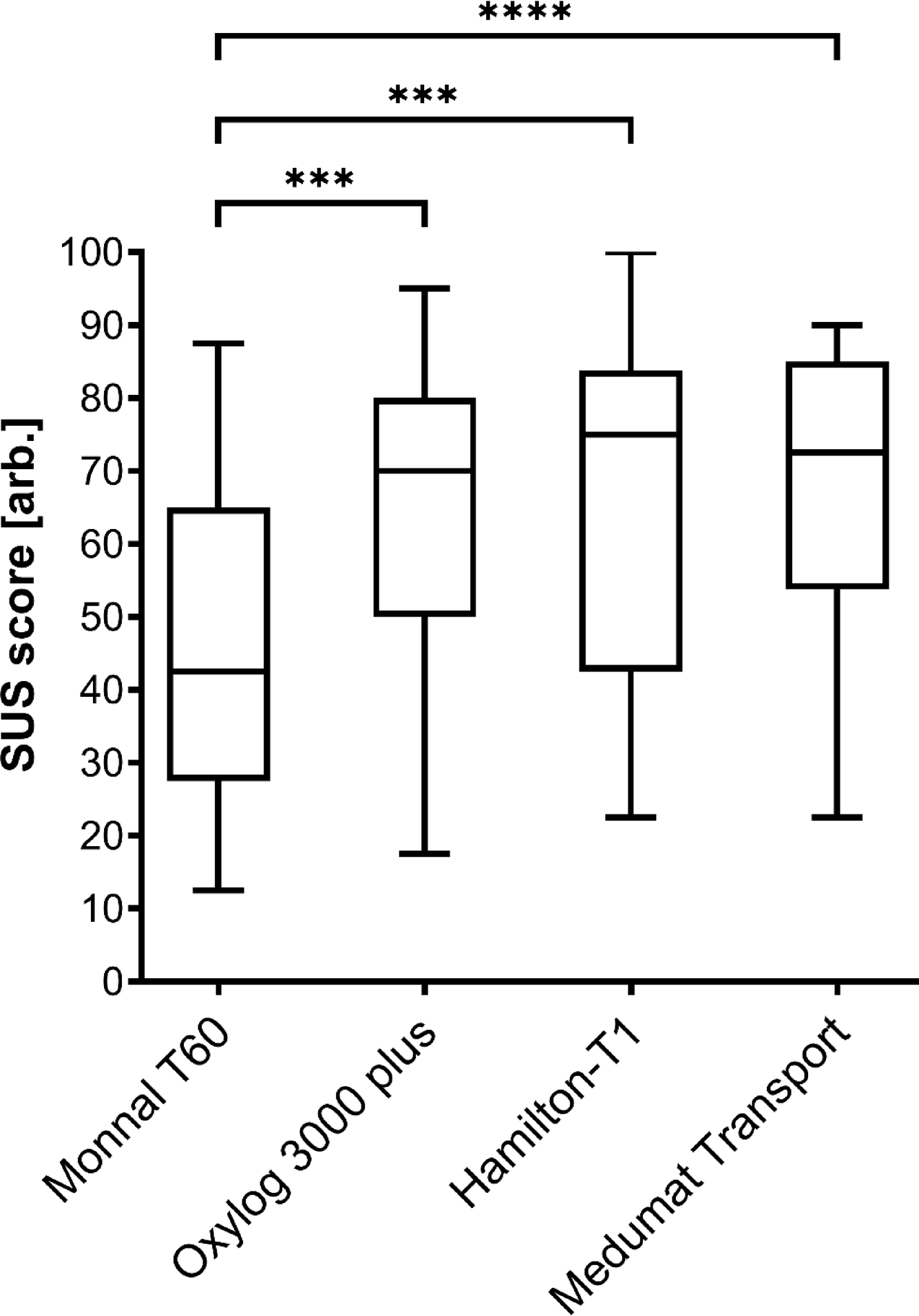
Fig. 3
From: Qualitative and quantitative evaluation of the usability of transport ventilators using eye tracking

Scores according to the system usability scale (Brooke J 1996) (SUS) evaluated by the operators given for the four transport ventilators. ***P < 0.001, ****p < 0.0001.