Fig. 13
From: Three-dimensional large eddy simulation of hydrodynamics in multi-pier tandem bridge systems

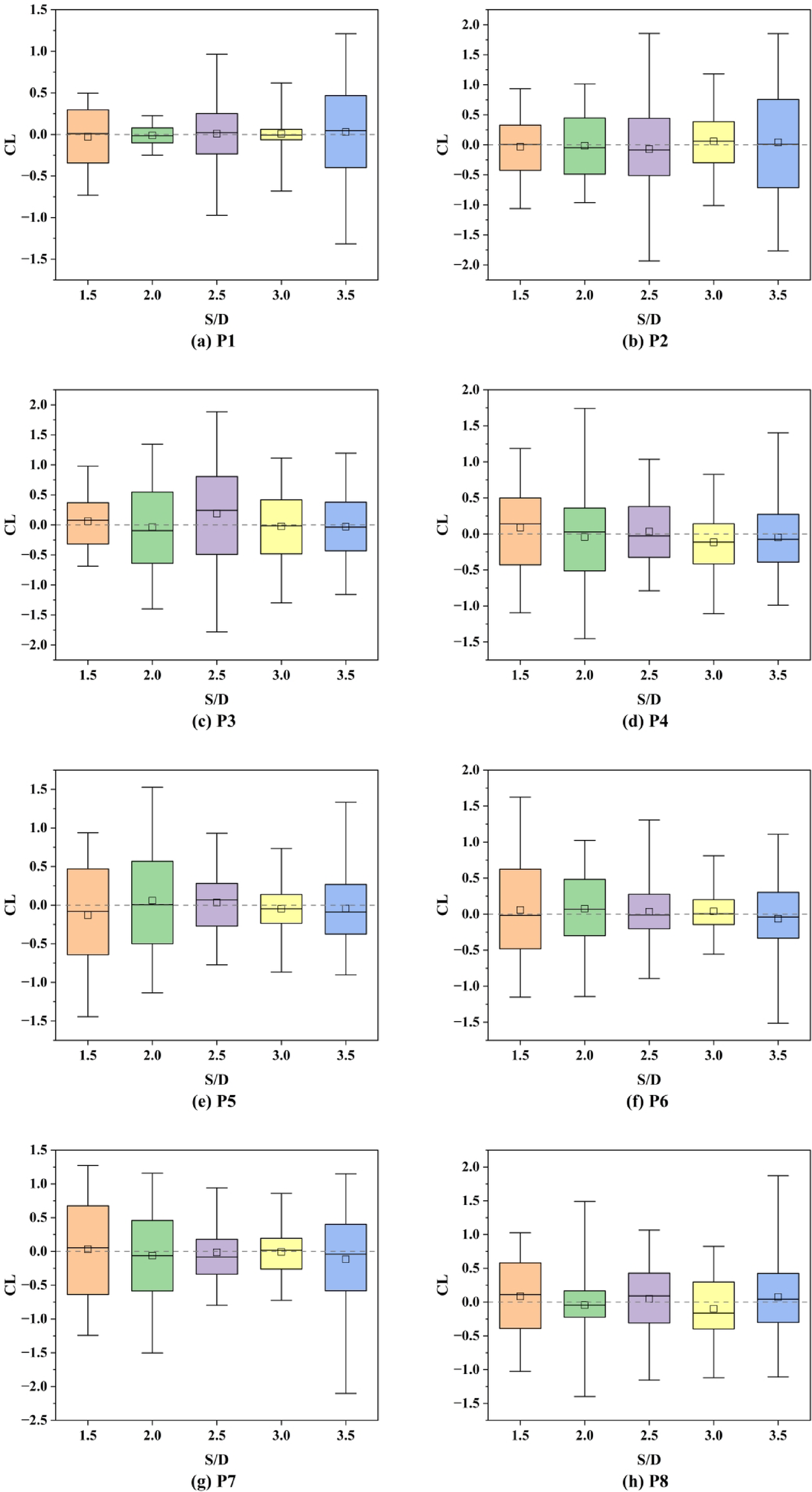
Distribution of lift coefficient (CL) for eight tandem bridge piers under varying spacing ratios (S/D): (a) P1 to (h) P8.
From: Three-dimensional large eddy simulation of hydrodynamics in multi-pier tandem bridge systems

Distribution of lift coefficient (CL) for eight tandem bridge piers under varying spacing ratios (S/D): (a) P1 to (h) P8.