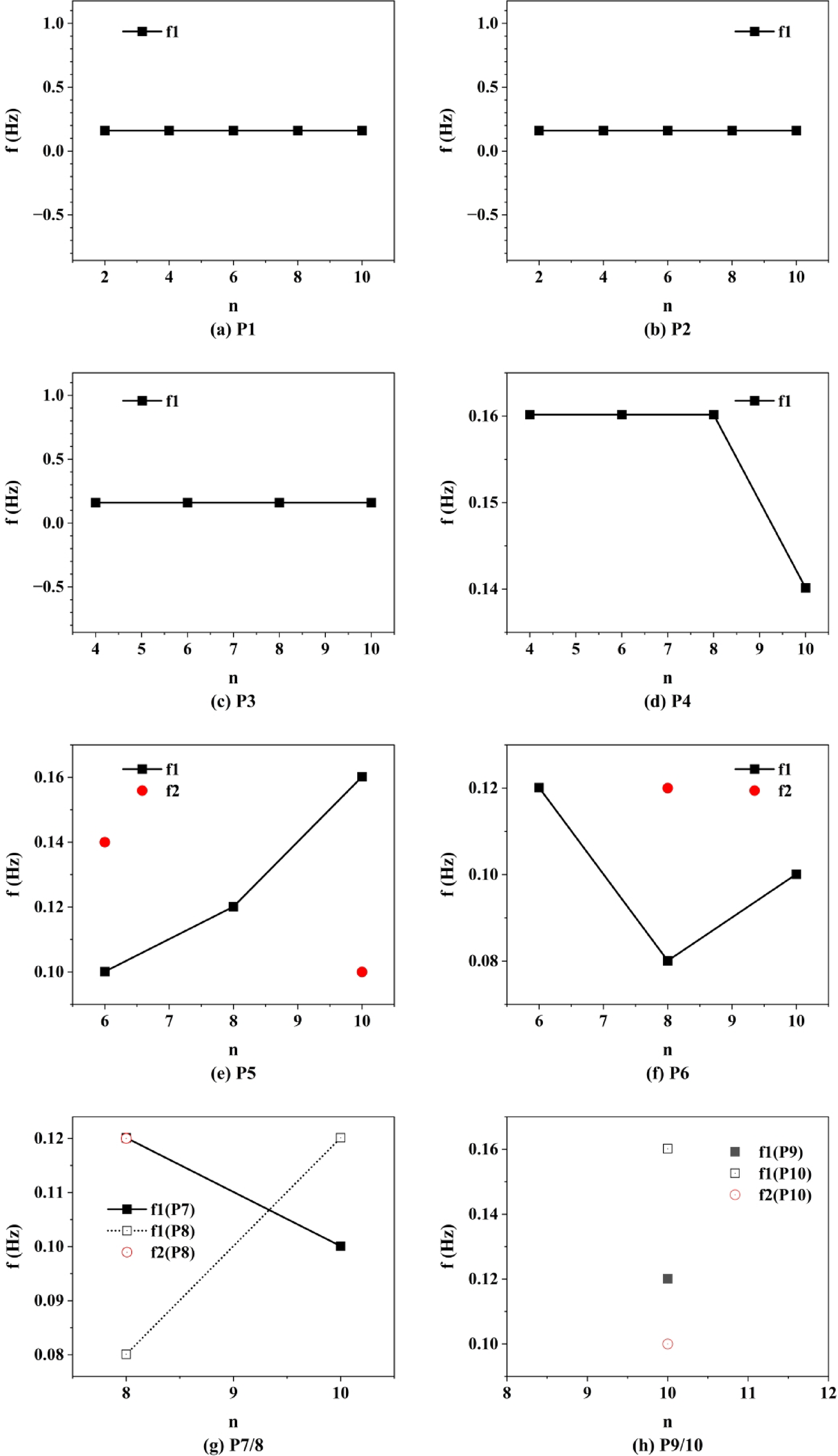
Fig. 18
From: Three-dimensional large eddy simulation of hydrodynamics in multi-pier tandem bridge systems

Distribution of vortex shedding frequency for tandem bridge piers under varying numbers of piers (n): (a) P1, (b) P2, (c) P3, (d) P4, (e) P5, (f) P6, (g) P7 and P8, (h) P9 and P10.