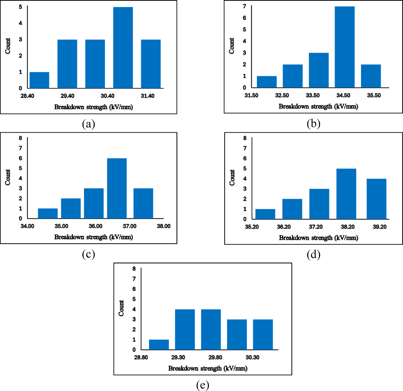
Fig. 18

A histogram shows the frequency distribution of BDS values. (a) pure epoxy, (b) Zn/Al (1%), (c) Zn/Al (3%), (d) Zn/AL (5%), and (e) Zn/Al (7%).

A histogram shows the frequency distribution of BDS values. (a) pure epoxy, (b) Zn/Al (1%), (c) Zn/Al (3%), (d) Zn/AL (5%), and (e) Zn/Al (7%).