Fig. 13
From: Effect of ice cover roughness on local scour around bridge piers

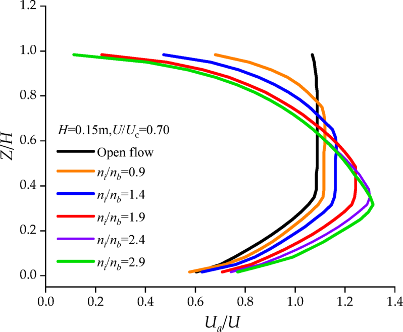
Simulated vertical velocity profiles at the bed center under varying ice cover roughness conditions.
From: Effect of ice cover roughness on local scour around bridge piers

Simulated vertical velocity profiles at the bed center under varying ice cover roughness conditions.