Fig. 14
From: On machine learning based QSPR analysis of amphetamine derivatives using regression models

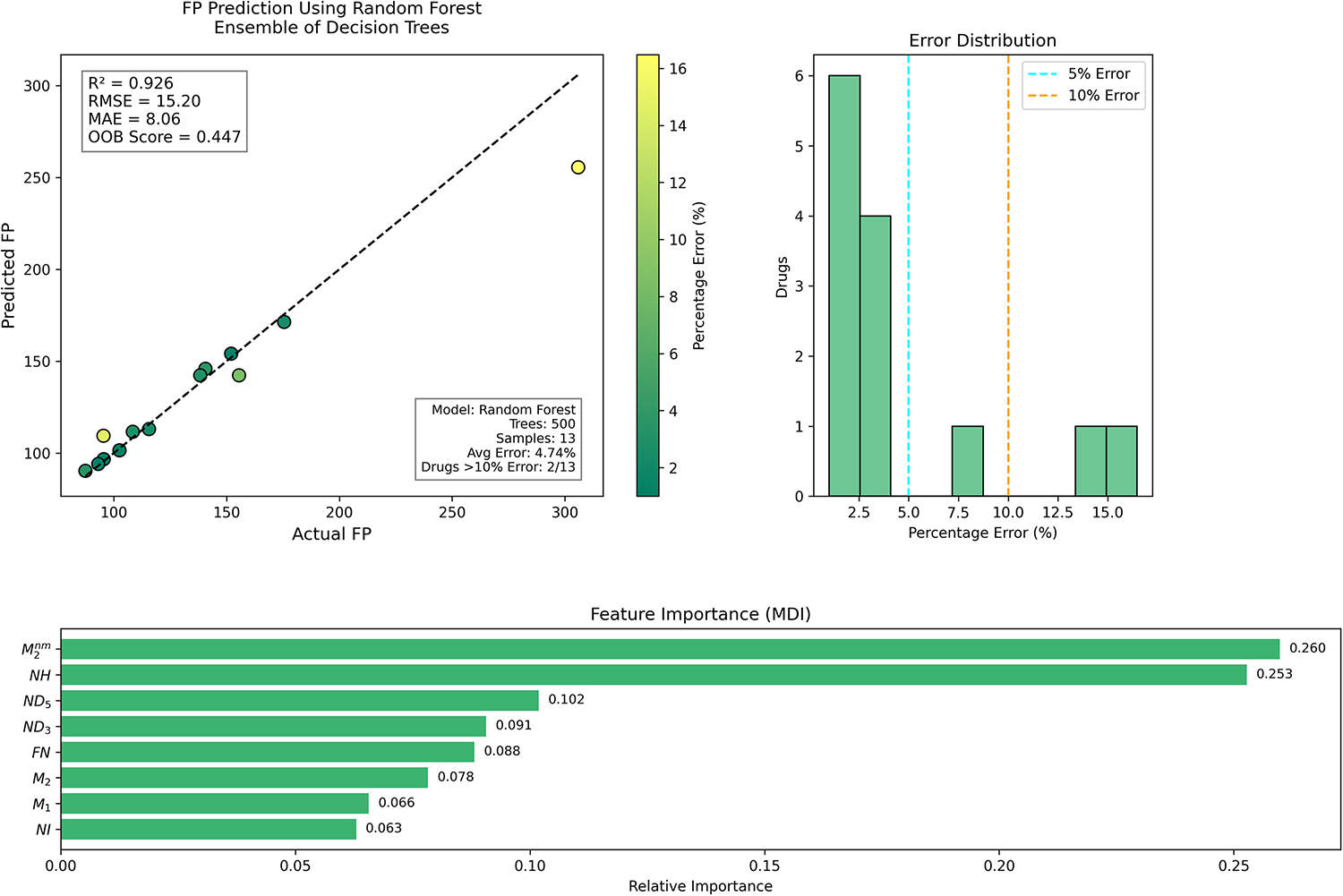
RF regression model comparing actual versus predicted FP based on the indices.
From: On machine learning based QSPR analysis of amphetamine derivatives using regression models

RF regression model comparing actual versus predicted FP based on the indices.