Thank you for visiting nature.com. You are using a browser version with limited support for CSS. To obtain
the best experience, we recommend you use a more up to date browser (or turn off compatibility mode in
Internet Explorer). In the meantime, to ensure continued support, we are displaying the site without styles
and JavaScript.
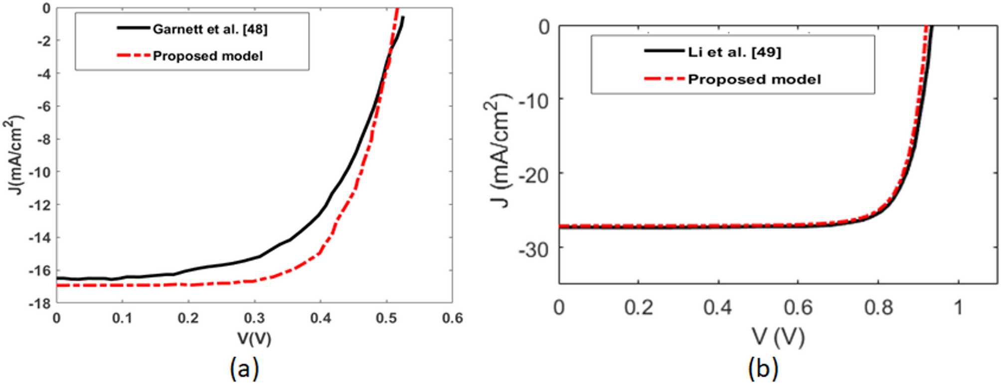
Comparison of the I–V characteristics of the proposed model and (a) Experimentally measured data for a silicon nanowire solar cell48, (b) COMSOL numerical results reported in Ref49.