Fig. 6

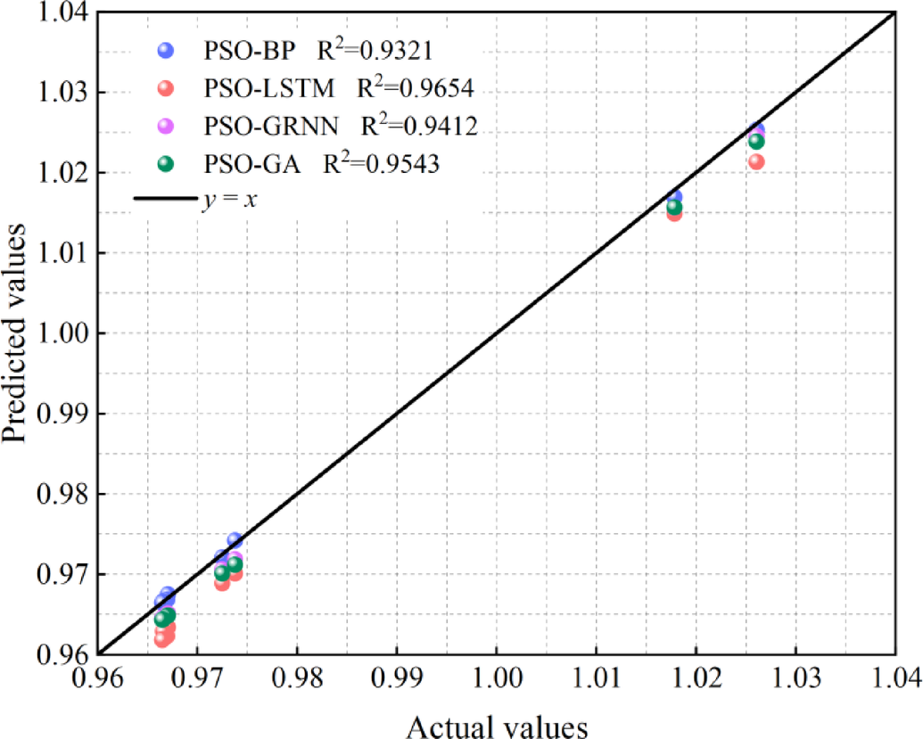
Comparison of the predicted and actual values of the stability coefficients of the hazardous rock mass for the hybrid algorithm model including PSO.

Comparison of the predicted and actual values of the stability coefficients of the hazardous rock mass for the hybrid algorithm model including PSO.