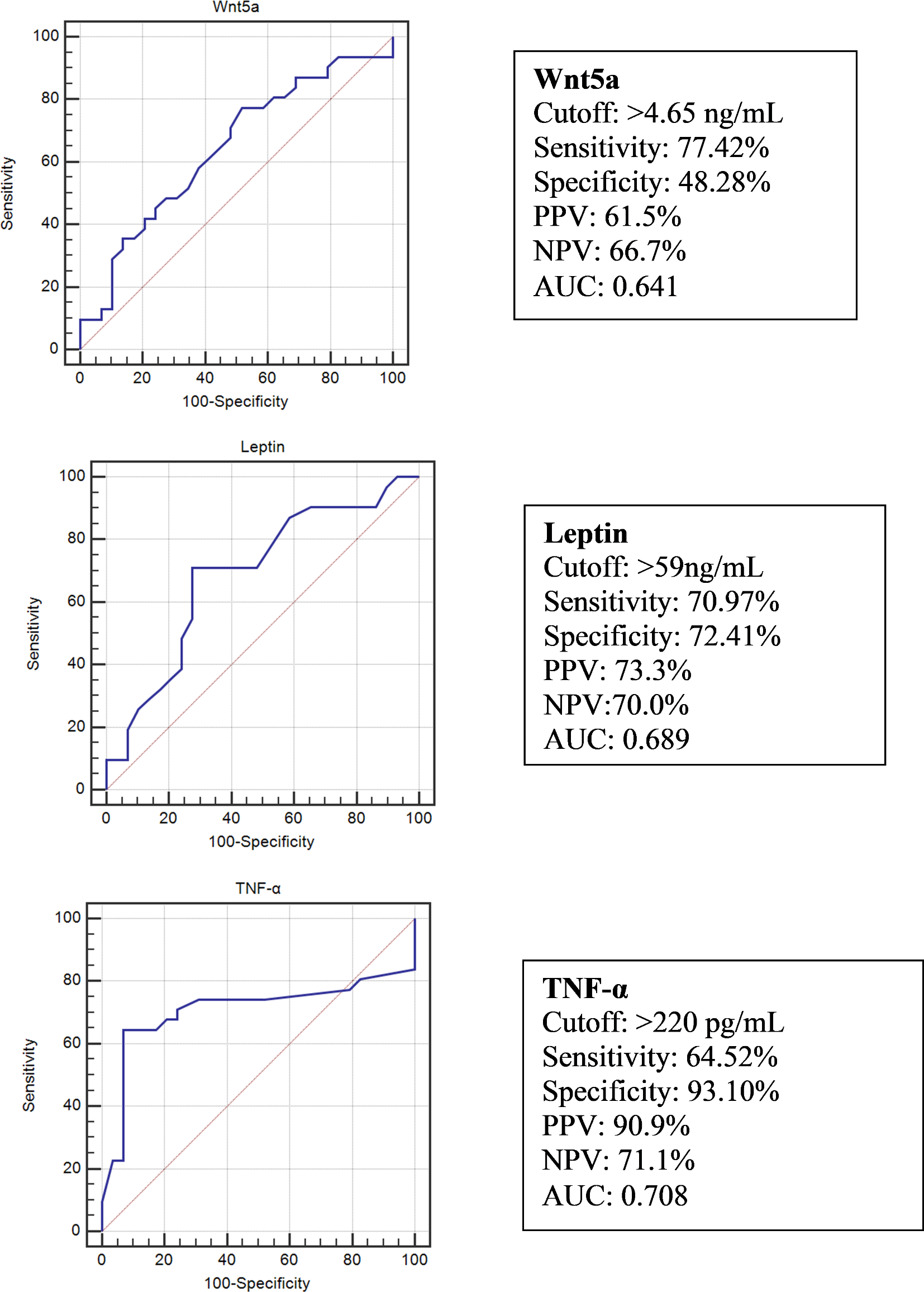
Fig. 2

ROC curve analyses of Wnt5a, leptin, and TNF-α among the obesity group (n = 60) for metabolic syndrome predictive ability.

ROC curve analyses of Wnt5a, leptin, and TNF-α among the obesity group (n = 60) for metabolic syndrome predictive ability.