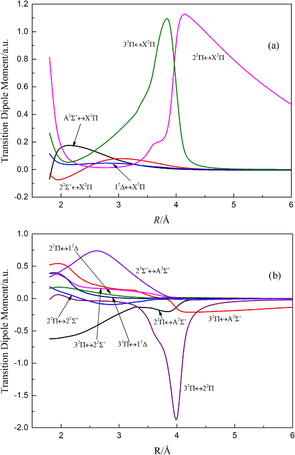
Fig. 5
From: A theoretical investigation of spectroscopy properties and transition properties of TlBr+ cation

Transition dipole moments of the Λ–S states. (a) Transitions from the excited states to the ground state; (b) Transitions between the several excited states.