Fig. 9
From: A constitutive model for coal gangue coarse-grained subgrade filler incorporating particle breakage

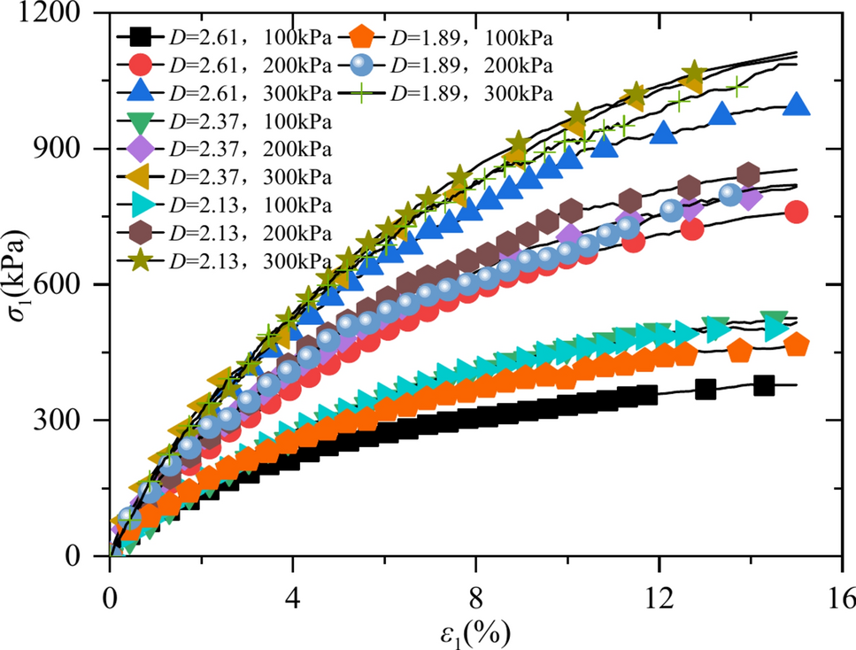
Stress–strain curves of CGSF under different gradations at 93% DC.
From: A constitutive model for coal gangue coarse-grained subgrade filler incorporating particle breakage

Stress–strain curves of CGSF under different gradations at 93% DC.