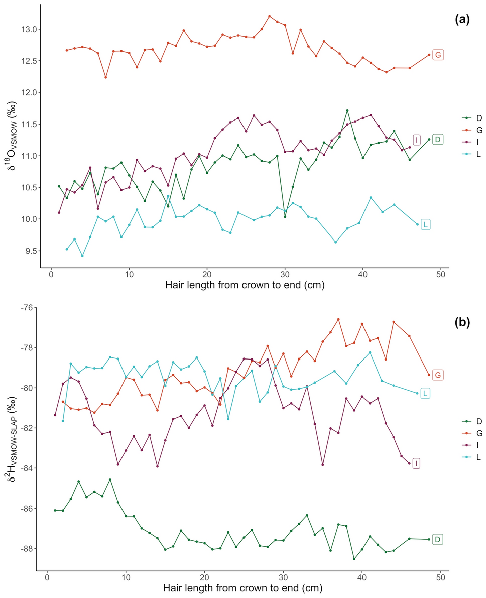
Fig. 3

Intra-hair oxygen (a) and hydrogen (b) isotope measurements from crown to end in cm for four modern participants D, G, I and L.

Intra-hair oxygen (a) and hydrogen (b) isotope measurements from crown to end in cm for four modern participants D, G, I and L.