Fig. 2


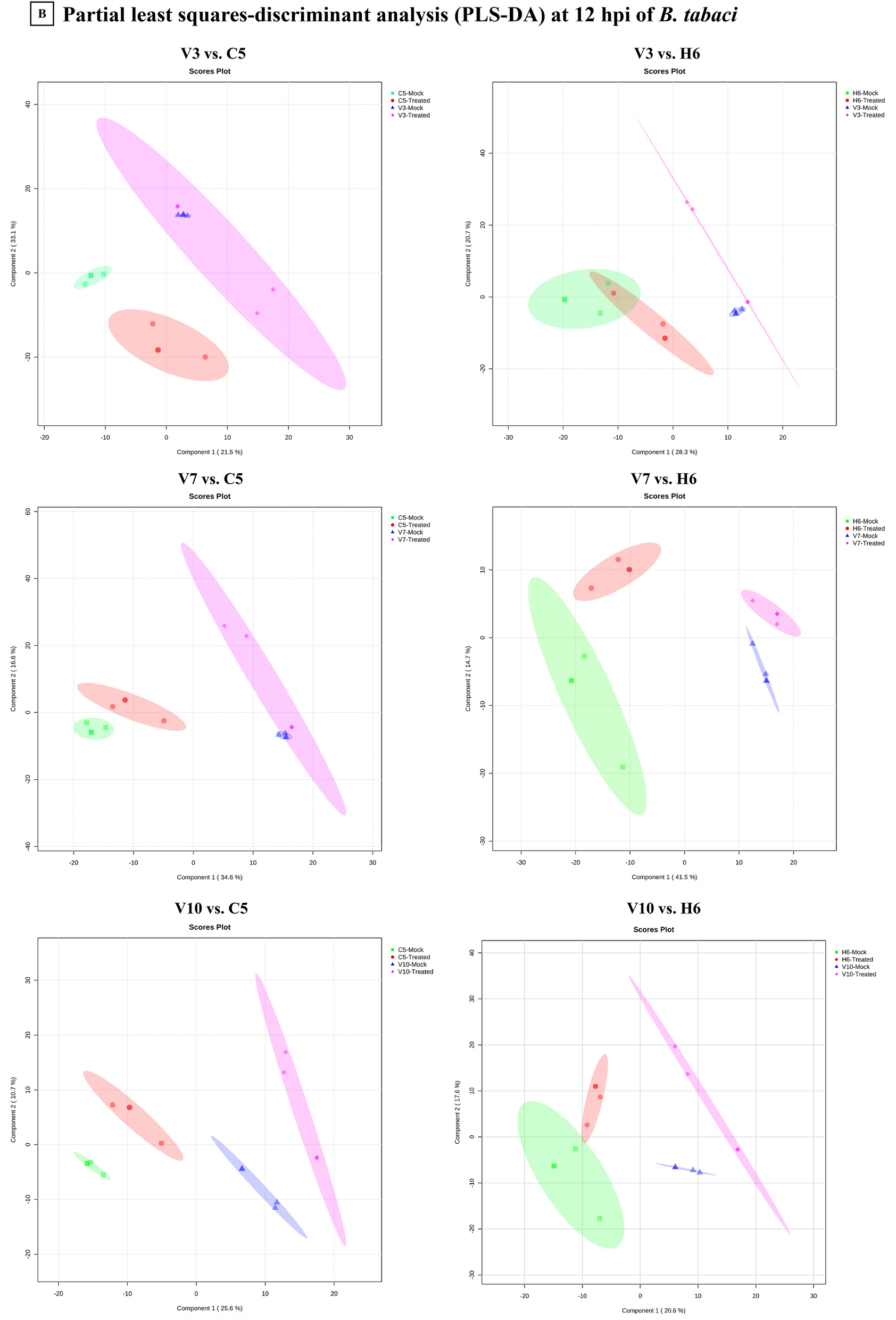
PLS-DA of metabolic profiles of treated and mock samples of resistant vs. susceptible accessions at (A) 6 hpi of B. tabaci and (B) 12 hpi of B. tabaci.


PLS-DA of metabolic profiles of treated and mock samples of resistant vs. susceptible accessions at (A) 6 hpi of B. tabaci and (B) 12 hpi of B. tabaci.