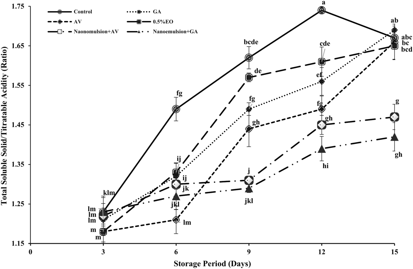
Fig. 6

Interaction effect of storage time and coating treatments on the TSS/TA ratio of Albion strawberries during the storage. Mean values followed by the similar letters are not significantly different from each other at P ≤ 0.05. Each bar corresponds to the mean ± SE (n = 6).