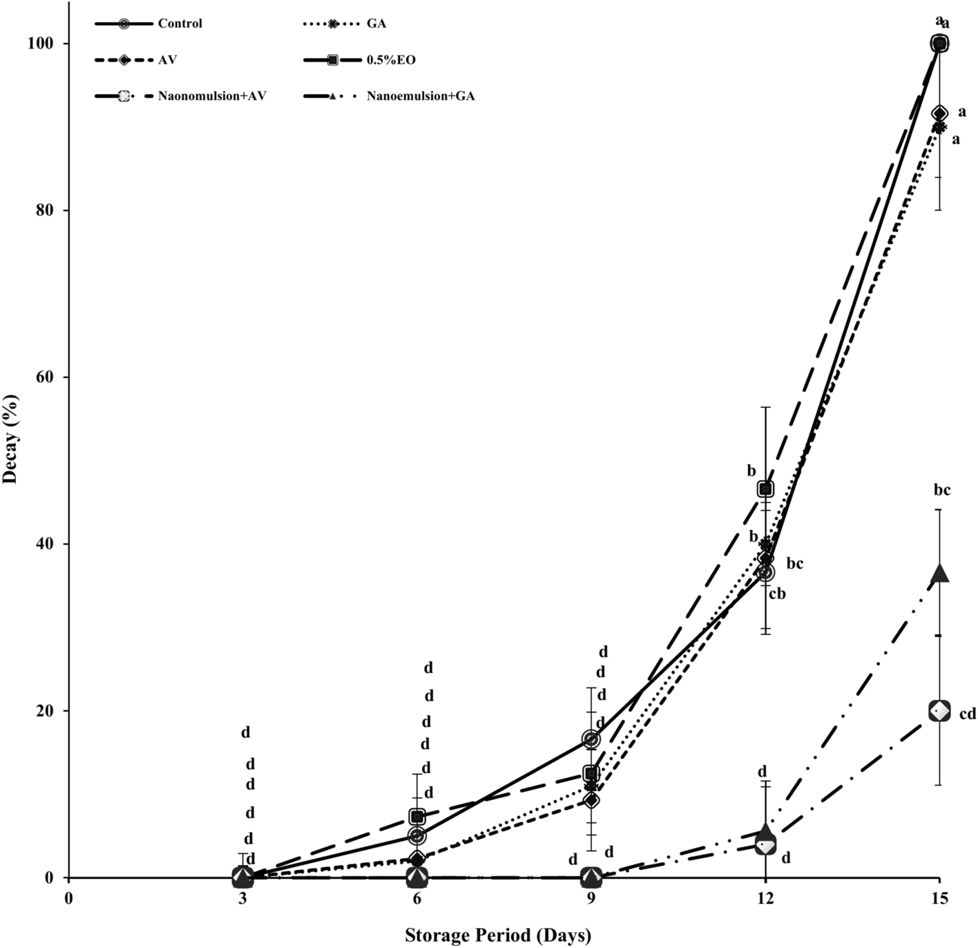
Fig. 9

Interaction effect of storage time and coating treatments on the decay percentage of Albion strawberries during the storage. Mean values followed by the similar letters are not significantly different from each other at P ≤ 0.05. Each bar corresponds to the mean ± SE (n = 6).