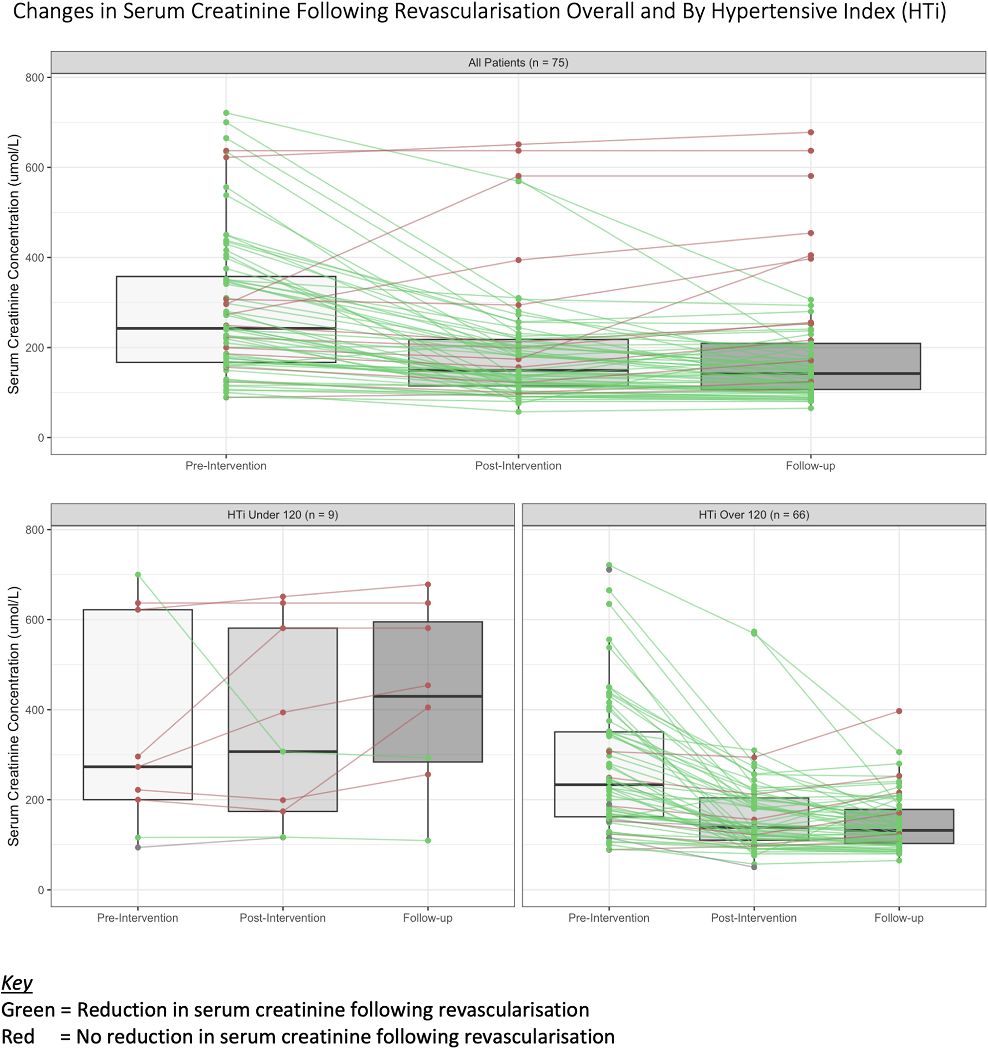
Fig. 1

Combined boxplot and line graph demonstrating reductions in serum creatinine following revascularisation in the whol study cohort and stratified by the pre-intervention hypertensive index.

Combined boxplot and line graph demonstrating reductions in serum creatinine following revascularisation in the whol study cohort and stratified by the pre-intervention hypertensive index.