Fig. 7
From: Particle breakage characteristics of calcareous sand under confined compression tests

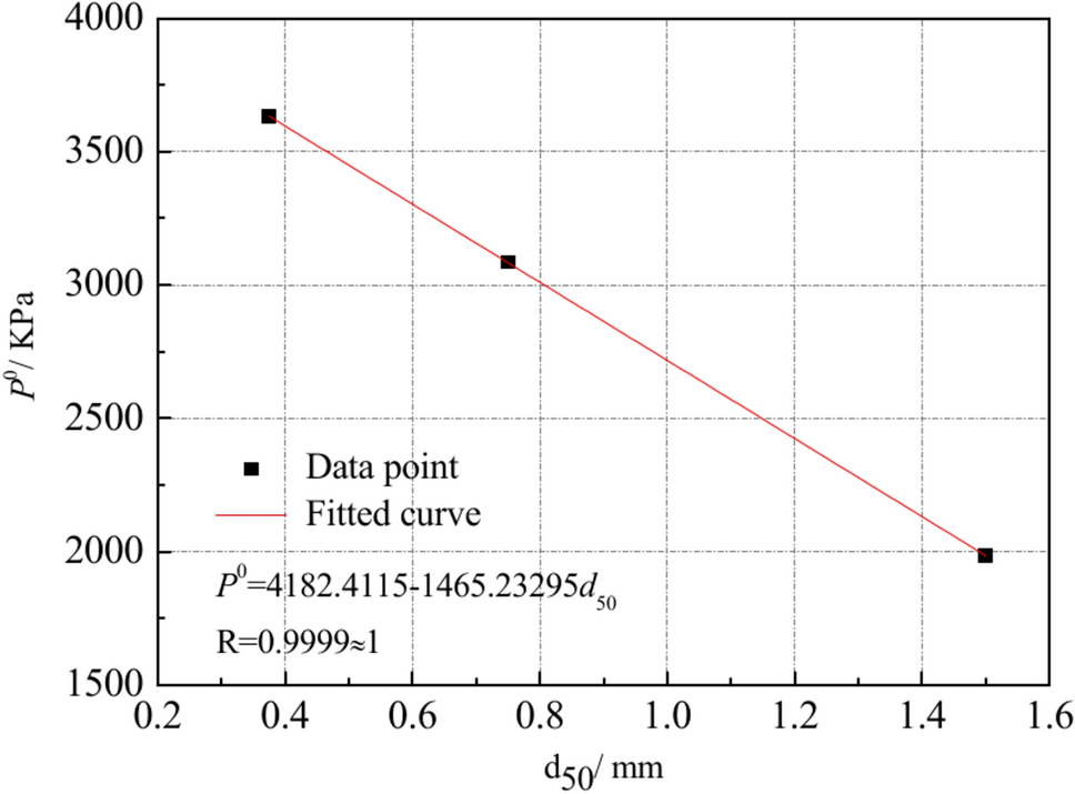
Relationship curve of d50 versus P0.
From: Particle breakage characteristics of calcareous sand under confined compression tests

Relationship curve of d50 versus P0.