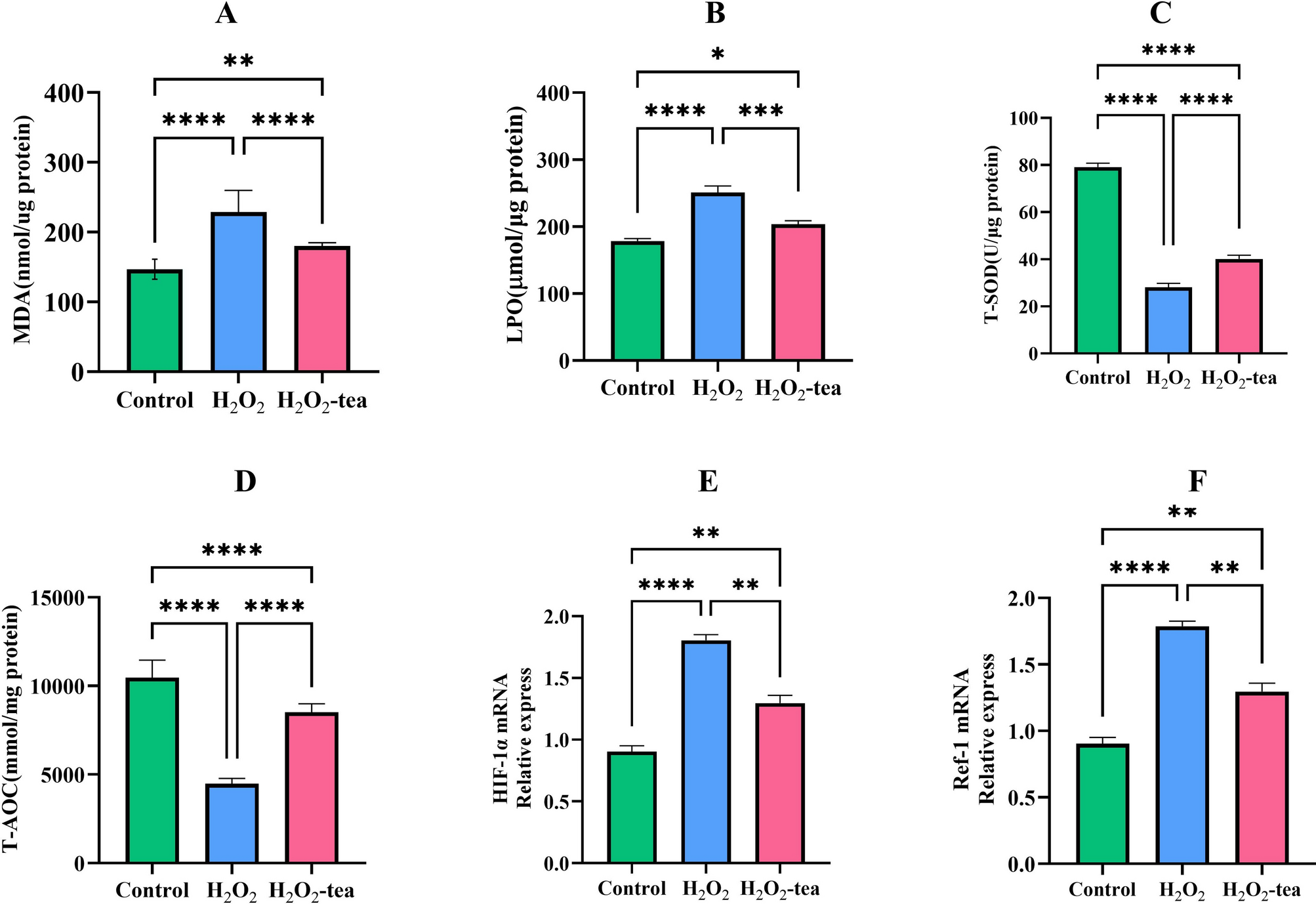
Fig. 3

The effect of FLFTE on oxidative stress indicators in the intestines of mice. (A) LPO concentration(n = 10 per group), (B) MDA concentration(n = 10 per group), (C) T-SOD activity(n = 10 per group), (D) T-AOC concentration (n = 10 per group), (E) HIF-α mRNA expression level (n = 3 per group), (F) Ref-1 mRNA expression level (n = 3 per group). The results are shown as the means ± SEM, *P < 0.05, **P < 0.01, ***P < 0.001, ****P < 0.0001.