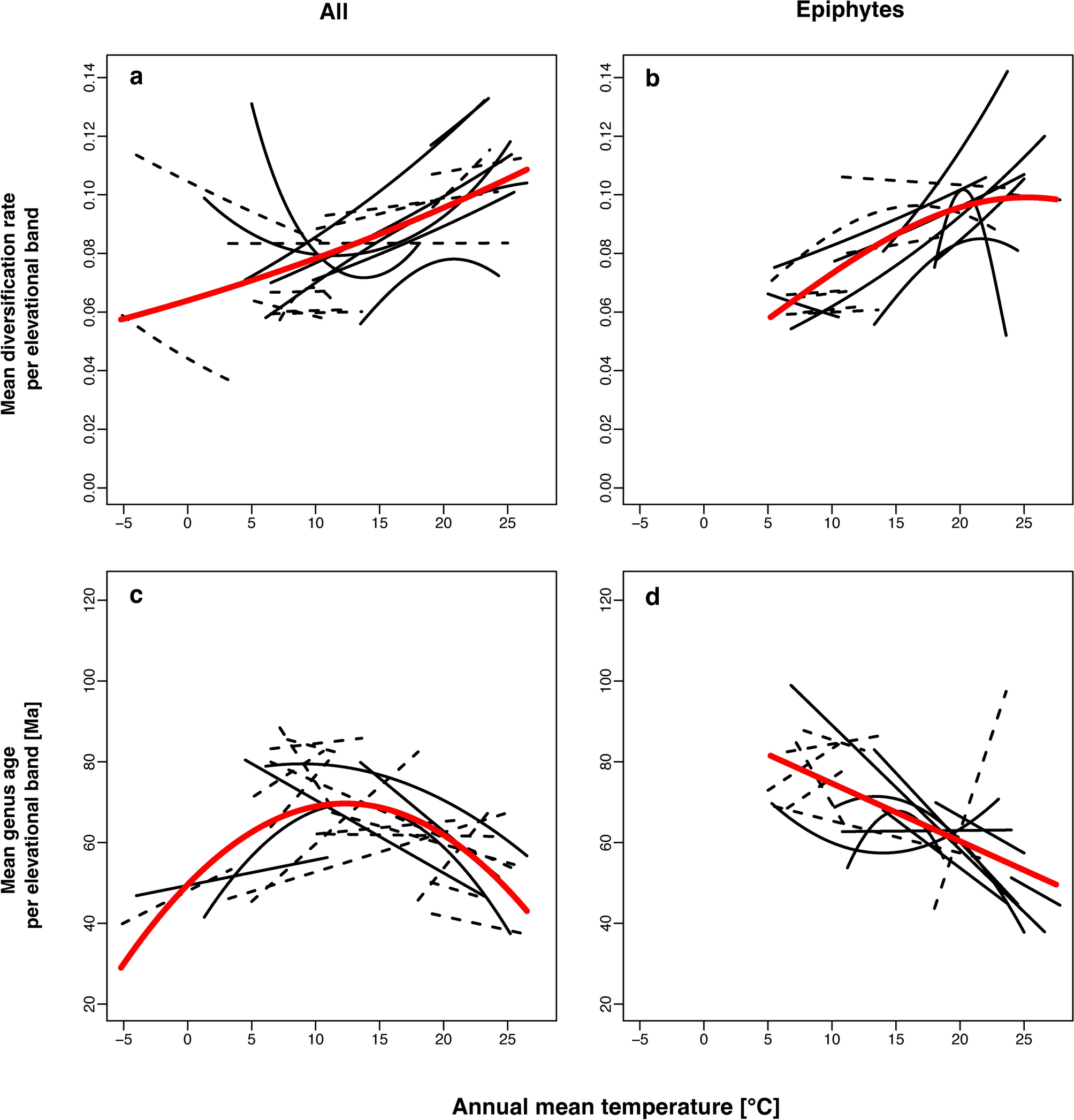
Fig. 3
From: Temperature dependence of liverwort diversification reveals a cool origin and hot hotspots

Temperature relationships of overall and epiphytic liverwort mean genus diversification rates per elevational band (DivElev) and mean genus ages per elevational band (AgeElev). Thin solid lines indicate significant (P < 0.01), dashed lines non-significant (P > 0.01) regression trend lines from individual locations; red lines depict the global trends.