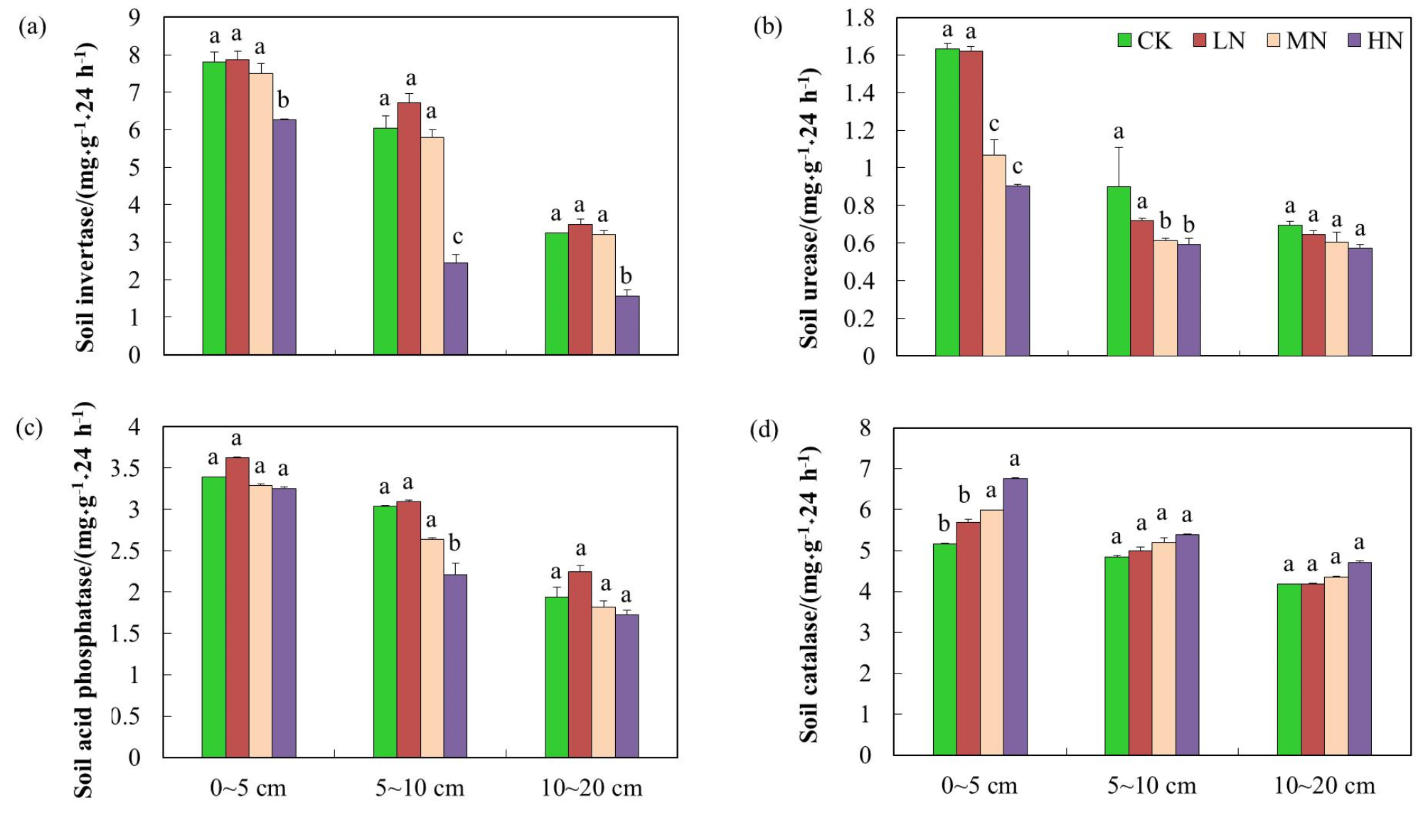
Fig. 6

Impacts of N addition on soil ecological enzyme activities. Different lowercase letters above the bars represent significant differences between different levels of nitrogen addition (p < 0.05). Figure (a–d) represent soil invertase, urease, acid phosphatase, and catalase activities, respectively.