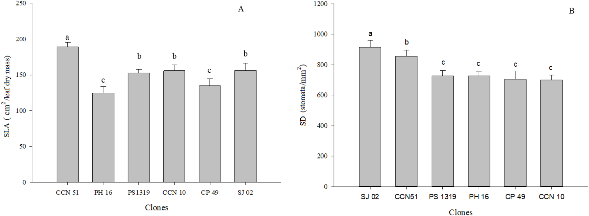
Fig. 2
From: Unlocking the potential of cacao yield with full sun cultivation

(A) Specific leaf area (SLA - cm2/leaf dry mass) and (B) stomatal density (SD – stomata/mm2) from the Scott-Knott test in leaves of cacao clones grown in full sun, in the municipality of Linhares, northern Espírito Santo State, Brazil.