Fig. 4
From: Study and application on the size effect and end effect of red sandstone mechanical properties


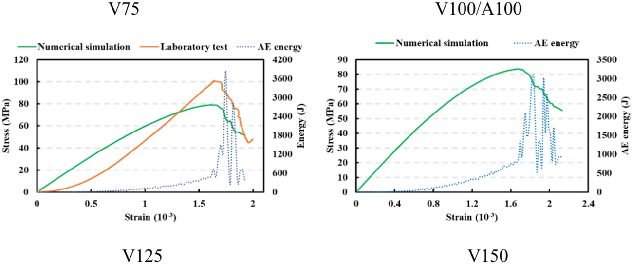
Stress–strain curves and acoustic emission energy of physical experiments and numerical simulations of rock samples.
From: Study and application on the size effect and end effect of red sandstone mechanical properties


Stress–strain curves and acoustic emission energy of physical experiments and numerical simulations of rock samples.