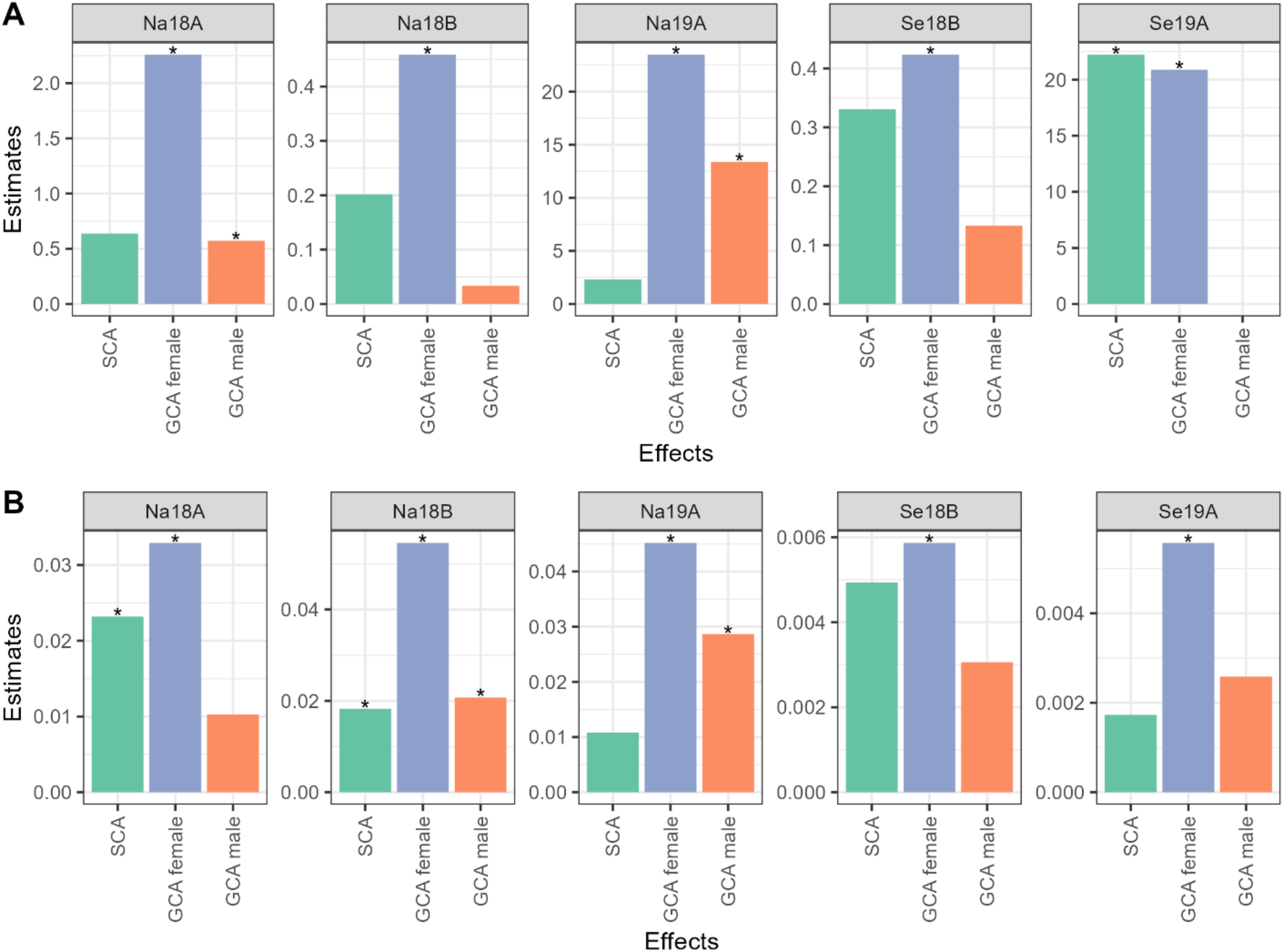
Fig. 3

Genetic variance components for general combining ability (GCA) for 8 males, 8 females, and specific combining ability (SCA) for 8 × 8 crosses for (A) storage root yield (t ha–1), and (B) SPVD symptoms, in five environments in Uganda: Namulonge (Na) and Serere (Se) in seasons 2018 A, 2018 B, and 2019 A (Na18A, Na18B, Na19A, Se18B, Se19A; A = main rainy season, B = short rainy season). The asterisks on the top of each bar illustrate the effects’ significance, according to the likelihood ratio test. These plots were created using the R package ggplot230, version 3.5.1 (https://ggplot2.tidyverse.org/); and stacked using the R package ggpubr31, version 0.6.0 (https://rpkgs.datanovia.com/ggpubr/).