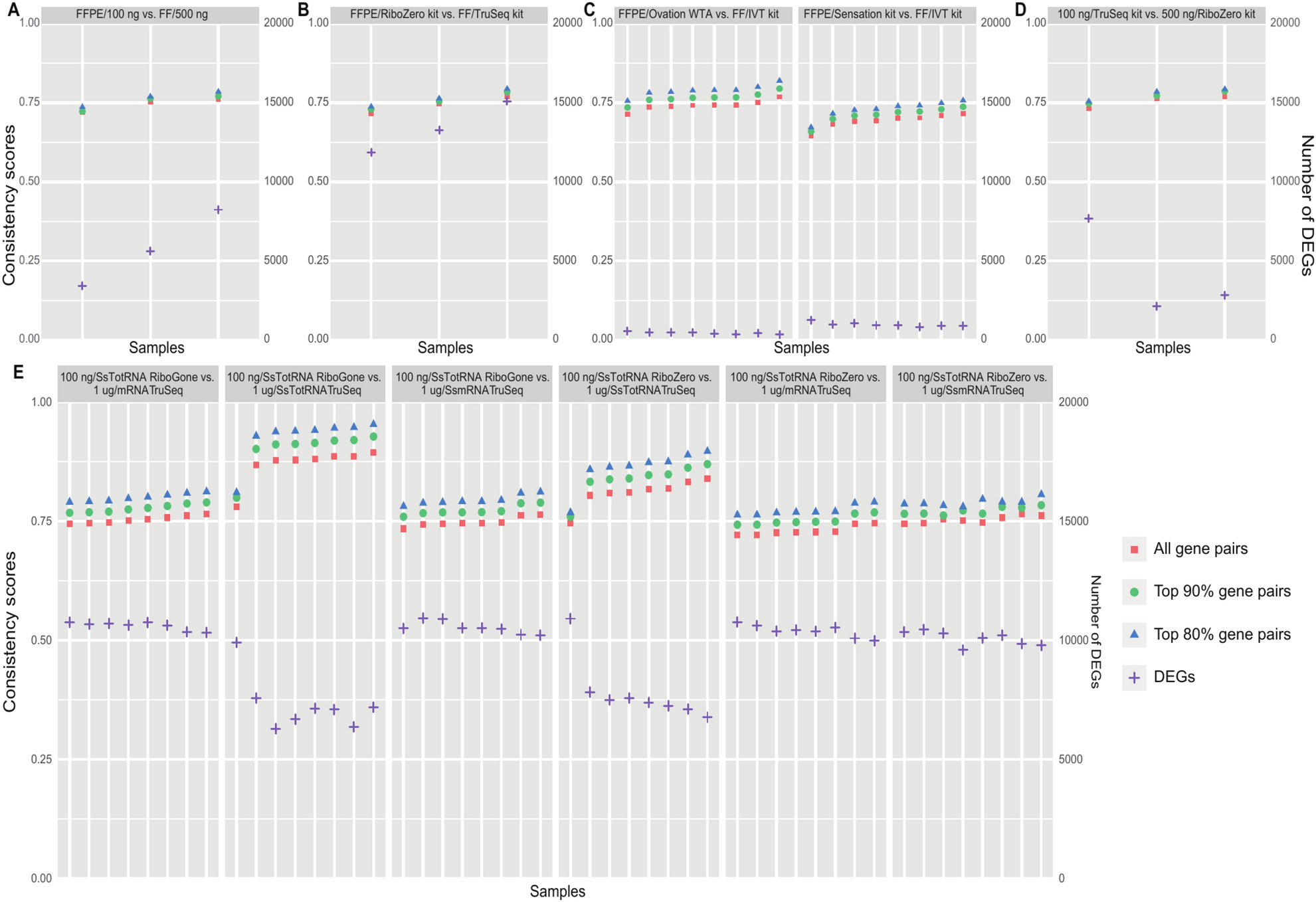
Fig. 7

Effect of the combination of two pre-analytical variables on gene expression measurements and REOs. Scatter plots depict the consistency scores of REOs (pink, green and blue dots, left vertical axis) and the number of DEGs (purple dots, right vertical axis) among samples with different preservation conditions and RNA quantity from GSE113976 (A); among samples with different preservation conditions and library preparation kits from GSE113976 (B); among samples with different preservation conditions and amplification kits from GSE93338 (C); among samples with different RNA quantity and library preparation kits from GSE113976 (D) and GSE124198(E) .